精英家教网 > 初中数学 > 题目详情
如图,在平面直角坐标系中,直线分别交x轴,y轴于A,B两点,点C为OB的中点,点D在第二象限,且四边形AOCD为矩形。
(1)直接写出点A,B的坐标,并求直线AB与CD交点的坐标;
(2)动点P从点C出发,沿线段CD以每秒1个单位长度的速度向终点D运动;同时,动点M从点A出发,沿线段AB以每秒个单位长度的速度向终点B运动,过点P作PH⊥OA,垂足为H,连接MP,MH,设点P的运动时间为t秒。
①若△MPH与矩形AOCD重合部分的面积为1,求t的值;
②点Q是点B关于点A的对称点,问BO+PH+HQ是否有最小值,如果有,求出相应的点P的坐标;如果没有,请说明理由。
解:(1)A(-3,0),B(0,4),
当y=2时,
所以直线AB与CD交点的坐标为
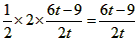
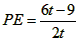
(2)①当时,△MPH与矩形AOCD重合部分的面积即△MPH的面积,
过点M作,垂足为N,
由△AMN∽△ABO,得


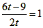
∴△MPH的面积为
时,t=1,
时,设MH与CD相交于点E,△MPH与矩形AOCD重合部分的面积,即△PEH的面积,
过点M作于G,交HP的延长线于点F,



由△HPE∽△HFM,得


∴△PEH的面积为
时,
综上所述,若△MPH与矩形AOCD重合部分的面积为1,t为1或
有最小值,
连接PB,CH,则四边形PHCB是平行四边形,


当点C,H,Q在同一直线上时,的值最小,
∵点C,Q的坐标分别为(0,2),(-6,-4),
∴直线CQ的解析式为y=x+2,
∴点H的坐标为(-2,0),
因此点P的坐标为(-2,2)。

练习册系列答案
相关习题

科目:初中数学 来源: 题型:

精英家教网如图,在平面直角坐标中,四边形OABC是等腰梯形,CB∥OA,OA=7,AB=4,∠COA=60°,点P为x轴上的一个动点,但是点P不与点0、点A重合.连接CP,D点是线段AB上一点,连接PD.
(1)求点B的坐标;
(2)当∠CPD=∠OAB,且
BD
AB
=
5
8
,求这时点P的坐标.

查看答案和解析>>

科目:初中数学 来源: 题型:

(2012•渝北区一模)如图,在平面直角坐标xoy中,以坐标原点O为圆心,3为半径画圆,从此圆内(包括边界)的所有整数点(横、纵坐标均为整数)中任意选取一个点,其横、纵坐标之和为0的概率是
5
29
5
29

查看答案和解析>>

科目:初中数学 来源: 题型:

如图,在平面直角坐标中,等腰梯形ABCD的下底在x轴上,且B点坐标为(4,0),D点坐标为(0,3),则AC长为
5
5

查看答案和解析>>

科目:初中数学 来源: 题型:

如图,在平面直角坐标xOy中,已知点A(-5,0),P是反比例函数y=
k
x
图象上一点,PA=OA,S△PAO=10,则反比例函数y=
k
x
的解析式为(  )

查看答案和解析>>

科目:初中数学 来源: 题型:

如图,在平面直角坐标中,四边形OABC是等腰梯形,CB∥OA,OC=AB=4,BC=6,∠COA=45°,动点P从点O出发,在梯形OABC的边上运动,路径为O→A→B→C,到达点C时停止.作直线CP.
(1)求梯形OABC的面积;
(2)当直线CP把梯形OABC的面积分成相等的两部分时,求直线CP的解析式;
(3)当△OCP是等腰三角形时,请写出点P的坐标(不要求过程,只需写出结果).

查看答案和解析>>

同步练习册答案