精英家教网 > 初中数学 > 题目详情
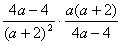
化简:
解:原式=
                =
                =
练习册系列答案
相关习题

科目:初中数学 来源: 题型:

化简:
a2
y4
-y2
a
=
 
m-1
m+1
÷(1-m)
=
 

查看答案和解析>>

科目:初中数学 来源: 题型:

23、先化简,再求值:2x2y-(3xy2-4x2y+5xy2),其中x=1,y=-1.

查看答案和解析>>

科目:初中数学 来源: 题型:

27、已知a、b、c在数轴上的对应点如图所示,化简|a|-|a+b|+|c-a|+|b+c|.

查看答案和解析>>

科目:初中数学 来源: 题型:

已知xy<0,则
x2y
化简后为
 

查看答案和解析>>

科目:初中数学 来源: 题型:

有下列命题:(1)有一个角为60°的等腰三角形是等边三角形;(2)等腰梯形最多有两条边相等;(3)一组数据的方差越小说明这组数据的波动性越大;(4)化简二简根式
-
1
a
=-a
-a
.其中正确命题的个数有(  )
A、1个B、2个C、3个D、4个

查看答案和解析>>

同步练习册答案