精英家教网 > 初中数学 > 题目详情

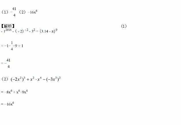
计算

(1) (2)

练习册系列答案
相关习题

科目:初中数学 来源:江苏省泰兴市2017届九年级下学期周周练5数学试卷 题型:填空题

若函数的图象与x轴只有一个公共点,则常数m的值是_______

查看答案和解析>>

科目:初中数学 来源:江苏省扬州市江都区邵樊片2016-2017学年八年级下学期第一次月考数学试卷 题型:解答题

在一个不透明的口袋里装有仅颜色不同的黑、白两种颜色的球20只,某学习小组做摸球实验.将球搅匀后从中随机摸出一个球,记下颜色,再把它放回袋中,不断重复,下表是活动进行中记下的一组数据

摸球的次数

100

150

200

500

800

1000

摸到白球的次数

58

96

116

295

484

601

摸到白球的频率

0.58

0.64

0.58

0.59

0.605

0.601

(1)请你估计,当n很大时,摸到白球的频率将会接近 (精确到0.1).

(2)假如你去摸一次,你摸到白球的概率是 ,摸到黑球的概率是

(3)试估算口袋中黑、白两种颜色的球有多少只.

查看答案和解析>>

科目:初中数学 来源:江苏省扬州市江都区邵樊片2016-2017学年八年级下学期第一次月考数学试卷 题型:单选题

下列条件中,不能判定四边形ABCD为平行四边形的条件是( )

A. AB=AD,BC=CD B. ∠A=∠C,∠B=∠D

C. AB∥CD,AB=CD D. AB=CD,AD=BC

查看答案和解析>>

科目:初中数学 来源:江苏省扬州市江都区小纪片2016-2017学年七年级下学期第一次月考数学试卷 题型:解答题

已知:如图,AC⊥BC,CD∥FG,∠1=∠2.试说明: DE⊥AC.

查看答案和解析>>

科目:初中数学 来源:江苏省扬州市江都区小纪片2016-2017学年七年级下学期第一次月考数学试卷 题型:填空题

已知2x+3y-3=0,则=___________.

查看答案和解析>>

科目:初中数学 来源:江苏省扬州市江都区小纪片2016-2017学年七年级下学期第一次月考数学试卷 题型:单选题

如图,在折纸活动中,小明制作了一张⊿ABC纸片,点D、E分别是边AB、AC上,将⊿ABC沿着DE折叠压平,A与A’重合,若∠A=75°,则∠1+∠2=( )

A. 150° B. 210° C. 105° D. 75°

查看答案和解析>>

科目:初中数学 来源:广东省2016-2017学年七年级下学期第二次月考数学(B卷)试卷 题型:填空题

不等式的正整数解为____________.

查看答案和解析>>

科目:初中数学 来源:江苏省扬州市2017届九年级4月月考数学试卷 题型:单选题

市统计局日前公布的《扬州市2012年国民经济和社会发展统计公报》显示全市金融机构年末人民币存款余额3310.84亿元,比年初增加492.96亿元,增长17.5%. 3310.84亿元用科学计数法表示为 ( )元

A. 元 B.

C. 元 D.

查看答案和解析>>

同步练习册答案