精英家教网 > 初中数学 > 题目详情

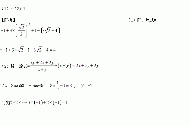
(1)计算:

(2)求式子的值,其中=8cos60°﹣tan45°,

练习册系列答案
相关习题

科目:初中数学 来源:广西南宁市 2017年九年级中考模拟数学试卷 题型:填空题

在Rt△ABC中,∠C=90°,AC=3,BC=4,将△ABC饶边AC所在的直线旋转一周得到圆锥,则该圆锥的表面积是_____.

查看答案和解析>>

科目:初中数学 来源:河南省信阳市罗山县2016-2017学年八年级下学期期末考试数学试卷 题型:解答题

提出问题:如图1,将三角板放在正方形ABCD上,使三角板的直角顶点P在对角线AC上,一条直角边经过点B,另一条直角边交边DC与点E,求证:PB=PE

分析问题:学生甲:如图1,过点P作PM⊥BC,PN⊥CD,垂足分别为M,N通过证明两三角形全等,进而证明两条线段相等.

学生乙:连接DP,如图2,很容易证明PD=PB,然后再通过“等角对等边”证明PE=PD,就可以证明PB=PE了.

解决问题:请你选择上述一种方法给予证明.

问题延伸:如图3,移动三角板,使三角板的直角顶点P在对角线AC上,一条直角边经过点B,另一条直角边交DC的延长线于点E,PB=PE还成立吗?若成立,请证明;若不成立,请说明理由.

查看答案和解析>>

科目:初中数学 来源:河南省信阳市罗山县2016-2017学年八年级下学期期末考试数学试卷 题型:单选题

小张的爷爷每天坚持体育锻炼,星期天爷爷从家里跑步到公园,打了一会太极拳,然后沿原路慢步走到家,下面能反映当天爷爷离家的距离y(米)与时间t(分钟)之间关系的大致图象是( )

A. B. C. D.

查看答案和解析>>

科目:初中数学 来源:山东省东营市(五四制)2017届九年级下学期期中考试数学试卷 题型:解答题

如图①,在Rt△ ABC和Rt△CED中,∠ABC=∠CED=90°,点E在AC上.点D在BC上,点F为AD的中点,连接BF、EF.

图①

观察与发现:

(1)线段BF和EF的数量关系是_ _.

拓广与探索:

(2)如图,把图①中的△CED绕着点C顺时针旋转,使点E落在边BC的延长线上,点F为AD的中点,则(1)中发现的结论是否成立?若成立.请给予证明;若不成立.请说明理由.

图②

(3)如图③,把图①中的△CED绕着点C顺时针旋转,使点D落在边AC上,点F为AD的中点,则(1)中发现的结论是否还成立?若成立.请给予证明;若不成立.请说明理由.

图③

查看答案和解析>>

科目:初中数学 来源:山东省东营市(五四制)2017届九年级下学期期中考试数学试卷 题型:填空题

如图,直线y=x+b与直线y=kx+6交于点P(3,5),则关于x的不等式x+b>kx+6的解集是_____.

查看答案和解析>>

科目:初中数学 来源:山东省东营市(五四制)2017届九年级下学期期中考试数学试卷 题型:单选题

若函数的图象与x轴只有一个交点,那么m的值为(  )

A. 0 B. 0或2 C. 2或-2 D. 0、2或-2

查看答案和解析>>

科目:初中数学 来源:贵州省黔南州2016-2017学年七年级下学期期末考试数学试卷 题型:填空题

命题“两直线平行,内错角相等”的题设是 ,结论是

查看答案和解析>>

科目:初中数学 来源:广西北海市2016-2017学年八年级下学期期末考试数学试卷 题型:单选题

在正方形网格中,∠AOB的位置如图所示,到两边距离相等的点应是(   )

A. C点 B. D点 C. E点 D. F点

查看答案和解析>>

同步练习册答案