精英家教网 > 初中数学 > 题目详情

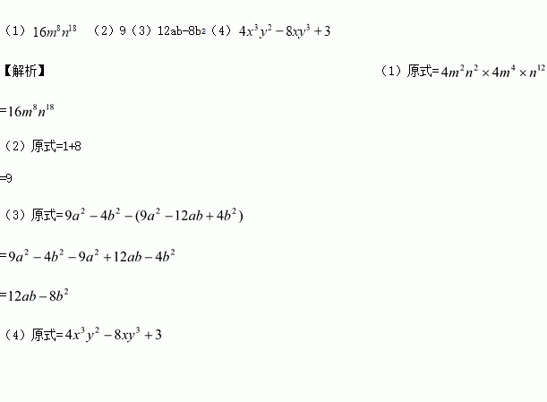
计算

(1)

(2)

(3)

(4)

练习册系列答案
相关习题

科目:初中数学 来源:贵州省六盘水市2017届九年级下学期分班考试数学试卷 题型:解答题

为确保信息安全,在传输时往往需加密,发送方发出一组密码a,b,c时,则接收方对应收到的密码为A,B,C.双方约定:A=2a﹣b,B=2b,C=b+c,例如发出1,2,3,则收到0,4,5.

(1)当发送方发出一组密码为2,3,5时,则接收方收到的密码是多少?

(2)当接收方收到一组密码2,8,11时,则发送方发出的密码是多少?

查看答案和解析>>

科目:初中数学 来源:湖北武汉市 2017年九年级数学中考模拟试卷(含答案) 题型:单选题

下列式子正确的是( )

A. (a﹣b)2=a2﹣2ab+b2 B. (a﹣b)2=a2﹣b2

C. (a﹣b)2=a2+2ab+b2 D. (a﹣b)2=a2﹣ab+b2

查看答案和解析>>

科目:初中数学 来源:安徽省合肥市中铁国际城校区2016-2017学年八年级下学期期中考试数学试卷 题型:单选题

当x=-1时,代数式x2-1的值是(  )

A. 1 B. 2 C. 2- D. -2

查看答案和解析>>

科目:初中数学 来源:贵州省六盘水市2016-2017学年七年级下学期第一次月考数学试卷 题型:解答题

利用所学知识,解答下列各题

(1)若,则的值是多少

(2)设,则的值是多少

查看答案和解析>>

科目:初中数学 来源:贵州省六盘水市2016-2017学年七年级下学期第一次月考数学试卷 题型:填空题

已知,那么三者之间满足的等量关系是___________.

查看答案和解析>>

科目:初中数学 来源:贵州省六盘水市2016-2017学年七年级下学期第一次月考数学试卷 题型:单选题

下列多项式的乘法中可用平方差公式计算的是( )

A. B.

C. D.

查看答案和解析>>

科目:初中数学 来源:福建省莆田市2016届九年级数学能力达标练习05 题型:单选题

如图,在 △ABC中,AB=AC=5,BC=6,AD⊥BC于D,点E,F分别在AD,AB是,则BE+EF的最小值是

A. 4 B. 4.8 C. 5 D. 5.4

查看答案和解析>>

科目:初中数学 来源:浙江省杭州市2016-2017学年八年级下学期期中考试数学试卷 题型:填空题

已知数据的方差是,则的方差为_____________.

查看答案和解析>>

同步练习册答案