精英家教网 > 初中数学 > 题目详情

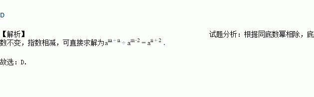
在算式m+n÷( )=m-2中括号内的式子应是 ( )

A. m+n+2 B. n-2 C. m+n-2 D. n+2

练习册系列答案
相关习题

科目:初中数学 来源:江苏省丹阳市2017届中考数学专题复习--一次(反比例)函数 题型:解答题

如图,已知点A在反比例函数上,作Rt△ABC,点D为斜边AC的中点,连DB并延长交y轴于点E,若△BCE的面积为8。

(1)求证:△EOB∽△ABC;

(2)求反比例函数的解析式。

查看答案和解析>>

科目:初中数学 来源:苏科版七年级数学 下册 第8章 幂的运算 同步练习 题型:填空题

(m-1) n÷mn=___________.

查看答案和解析>>

科目:初中数学 来源:苏科版七年级数学 下册 第8章 幂的运算 同步练习 题型:填空题

2·(-)2=____________.

查看答案和解析>>

科目:初中数学 来源:苏科版七年级数学 下册 第8章 幂的运算 同步练习 题型:单选题

下列运算正确的是( )

A. x5 x=x5 B. x5-x2=x3 C. (-y) 2 (-y) 7=y9 D. -y3·(-y) 7=y10

查看答案和解析>>

科目:初中数学 来源:苏科版七年级数学 下册 第8章 幂的运算 同步练习 题型:单选题

下列等式正确的是 ( )

①0.000126=1.26×10-4 ②3.10×104=31000

③1.1×10-5=0.000011 ④12600000=1.26×106

A. ①② B. ②④ C. ①②③ D. ①③④

查看答案和解析>>

科目:初中数学 来源:苏科版七年级数学 下册 第8章 幂的运算 同步练习 题型:单选题

下列计算不正确的是( )

A. m=0=1 B. m÷(p)=m-n-p

C. (-x) 5÷(-x) 4=-x D. 9-3÷(3-3) 2=l

查看答案和解析>>

科目:初中数学 来源:江苏省扬州市江都区五校联谊2016-2017学年八年级下学期第二次月考考试数学试卷 题型:填空题

如图,已知的对角线AC、BD相交于点O,点E是CD的中点,若BD=12cm, △DOE的周长为15cm,则的周长为______cm.

查看答案和解析>>

科目:初中数学 来源:江苏省靖江市2016届九年级下学期中考复习周练数学试卷 题型:填空题

如图,PA,PB是⊙O是切线,A,B为切点, AC是⊙O的直径,若∠BAC=25°,则∠P= _度.

查看答案和解析>>

同步练习册答案