精英家教网 > 初中数学 > 题目详情

如图,已知圆心角∠AOB的度数为100°,C是的一点,则圆周角∠ACB的度数( )

A. 80° B. 100° C. 120° D. 130°

练习册系列答案
相关习题

科目:初中数学 来源:福建省莆田市2016届九年级数学能力达标练习02 题型:单选题

下列计算正确的是( )

A. B.

C. D.

查看答案和解析>>

科目:初中数学 来源:河北省涿州市2016-2017学年七年级下学期期中考试数学试卷(附答案) 题型:单选题

对于有理数x,y,定义新运算:x☆y=ax+by,其中a,b是常数,等式右边是通常的加法和乘法运算,已知1☆2=1,(-3)☆3=6,则2☆(-5)的值是( )

A. -5 B. -6 C. -7 D. -8

查看答案和解析>>

科目:初中数学 来源:浙江省温州市2016届九年级上学期期中考试数学试卷 题型:解答题

一个不透明的布袋里装有2个白球,1个黑球和若干个红球,它们除颜色外其余都相同.从中任意摸出1个球,取出白球的概率为.

⑴ 布袋里红球有多少个?

⑵ 先从布袋中摸出1个球后不再放回,再摸出1个球,求两次摸到的球都是白球的概率.

查看答案和解析>>

科目:初中数学 来源:浙江省温州市2016届九年级上学期期中考试数学试卷 题型:填空题

从长度为1,2,6,7的四条线段中任选三条作为边能构成三角形的概率为_________.

查看答案和解析>>

科目:初中数学 来源:浙江省温州市2016届九年级上学期期中考试数学试卷 题型:单选题

已知⊙O的半径为6,点P在⊙O上,则OP的长是( )

A. 3 B. 6 C. 7 D. 12

查看答案和解析>>

科目:初中数学 来源:福建省南安市柳城义务教育小片区2016-2017学年七年级下学期期中考试数学试卷 题型:解答题

(8分)学校准备添置一批课座椅,原订购60套,每套100元.店方表示:如果多购,可以优惠.结果校方购了72套,每套减价3元,但商店获得同样多的利润.求每套课座椅的成本.

查看答案和解析>>

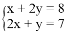
科目:初中数学 来源:福建省南安市柳城义务教育小片区2016-2017学年七年级下学期期中考试数学试卷 题型:选择题

已知x、y满足方程组,则x-y的值是( )

A. -1 B. 0 C. 1 D. 2

查看答案和解析>>

科目:初中数学 来源:福建省2016-2017学年八年级下学期期中考试数学试卷 题型:单选题

如图1,在矩形MNPO中,动点R从点N出发,沿N→P→O→M方向运动至点M处停止.设点R运动的路程为x,△MNR的面积为y,如果y关于x的函数图象如图2所示,则矩形MNPO的周长是( )

A. 11 B. 15 C. 16 D. 24

查看答案和解析>>

同步练习册答案