精英家教网 > 初中数学 > 题目详情

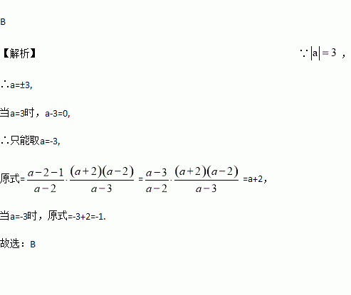
时,代数式 的值为( )

A. 5 B. 一1 C. 5或一1 D. 0

练习册系列答案
相关习题

科目:初中数学 来源:江苏省2017届九年级下学期第一次模拟考试数学试卷 题型:解答题

“世界那么大,我想去看看”一句话红遍网络,骑自行车旅行越来越受到人们的喜爱,各种品牌的山地自行车相继投放市场.顺风车行经营的A型车2016年3月份销售总额为3.2万元,今年经过改造升级后A型车每辆销售价比去年增加400元,若今年3月份与去年3月份卖出的A型车数量相同,则今年3月份A型车销售总额将比去年3月份销售总额增加25%.A、B两种型号车的进货和销售价格如表:

(1)求今年3月份A型车每辆销售价多少元(请用列方程的方法解答);

(2)该车行计划4月份新进一批A型车和B型车共50辆,且B型车的进货数量不超过A型车数量的两倍,应如何进货才能使这批车获利最多?

查看答案和解析>>

科目:初中数学 来源:内蒙古鄂尔多斯市东胜区2017届九年级下学期第二次模拟考试数学试卷 题型:单选题

从﹣3,﹣1, ,1,3这五个数中,随机抽取一个数,记为a,若数a使关于x的不等式组无解,且使关于x的分式方程=﹣1有整数解,那么这5个数中所有满足条件的a的值之和是( )

A. B. C. D.

查看答案和解析>>

科目:初中数学 来源:苏科版八年级数学下册 第十单元 分式 综合测试卷 题型:填空题

=____________时, 的值互为倒数.

查看答案和解析>>

科目:初中数学 来源:苏科版八年级数学下册 第十单元 分式 综合测试卷 题型:单选题

一水池有甲、乙两根进水管.两管同时开放6小时可以将水池注满水.如果单开甲管5小时后,两管同时开放,还需3小时才能注满水池,那么单独开放甲管注满水池需( )

A. 7.5小时 B. 10小时 C. 12.5小时 D. 15小时

查看答案和解析>>

科目:初中数学 来源:江苏省兴化市心校2017届九年级上学期期中考试数学试卷 题型:解答题

如图,四边形ABCD是平行四边形,以AB为直径的⊙O经过点D,E是⊙O上一点,若⊙O的直径为6cm,且∠AED=45°.

(1)判断CD与⊙O的位置关系,并说明理由;

(2)求图中阴影部分的面积;

(3)若EF=1cm,求DF的长.

查看答案和解析>>

科目:初中数学 来源:江苏省兴化市心校2017届九年级上学期期中考试数学试卷 题型:解答题

某中学开展某项比赛活动,九年级(1)、(2)班根据初赛成绩,各选出5名选手参加复赛,两个班各选出的5名选手的复赛成绩(满分为 100分)如下图所示:

(1)根据图示填写下表:

(2)结合两班复赛成绩,分析哪个班级的复赛成绩较好;

查看答案和解析>>

科目:初中数学 来源:江苏省兴化市心校2017届九年级上学期期中考试数学试卷 题型:单选题

已知: ,下列各式中,正确的是( )

A. = B. = C. = D. =

查看答案和解析>>

科目:初中数学 来源:江苏省镇江市苏科版八年级数学上册:4 实数 单元测试卷 题型:填空题

地球距月球表面约为383900千米,这个距离用科学记数法应表示为_______千米.(结果精确到千位)

查看答案和解析>>

同步练习册答案