精英家教网 > 初中数学 > 题目详情

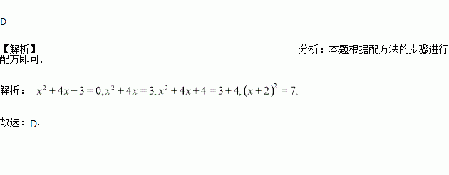
用配方法解一元二次方程x2+4x﹣3=0时,原方程可变形为(  )

A. (x+2)2=1 B. (x+2)2=19 C. (x+2)2=13 D. (x+2)2=7

练习册系列答案
相关习题

科目:初中数学 来源:湖南省教育集团2016-2017学年七年级上学期期中考试数学试卷 题型:解答题

有10筐白菜,以每筐25千克为标准,超过的千克数记作正数,不足的千克数记作负数,称后的记录如下:-1.5,3,-0.5,2, 0,-1,-2, 1,-2.5, 2.5.求这10筐白菜一共有多少千克?

查看答案和解析>>

科目:初中数学 来源:江苏省镇江市2016-2017学年八年级上学期期中考试数学试卷 题型:单选题

点P到△ABC三个顶点的距离相等,则点P应是△ABC的三条 的交点。 ( )

A. 高 B. 角平分线 C. 中线 D. 边的垂直平分线

查看答案和解析>>

科目:初中数学 来源:黑龙江省2016-2017学年八年级(下)期末数学试卷(五四学制) 题型:填空题

如图,直线y=﹣x+b与双曲线y=﹣(x<0)交于点A,与x轴交于点B,则OA2﹣OB2=_____.

查看答案和解析>>

科目:初中数学 来源:黑龙江省2016-2017学年八年级(下)期末数学试卷(五四学制) 题型:单选题

如图所示,在一块长为22m,宽为17m的矩形地面上,要修建同样宽的两条互相垂直的道路(两条道路各与矩形的一条边平行),若剩余部分种上草坪,使草坪的面积为300m2,则所修道路的宽度为(  )m.

A. 4 B. 3 C. 2 D. 1

查看答案和解析>>

科目:初中数学 来源:江苏省扬州市邵樊片2017届九年级上学期第一次月数学试卷 题型:解答题

(本题满分12分)如图1,为美化校园环境,某校计划在一块长为60米,宽为40米的长方形空地上修建一个长方形花圃,并将花圃四周余下的空地修建成同样宽的通道,设通道宽为米.

(1)花圃的面积为 (用含的式子表示);

(2)如果通道所占面积是整个长方形空地面积的,求出此时通道的宽;

(3)已知某园林公司修建通道、花圃的造价(元)、(元)与修建面积 之间的函数关系如图2所示,如果学校决定由该公司承建此项目,并要求修建的通道的宽度不少于2米且不超过10米,那么通道宽为多少时,修建的通道和花圃的总造价为105920元

查看答案和解析>>

科目:初中数学 来源:江苏省扬州市邵樊片2017届九年级上学期第一次月数学试卷 题型:解答题

先化简,再求值:

,其中a满足.

查看答案和解析>>

科目:初中数学 来源:江苏省扬州市邵樊片2017届九年级上学期第一次月数学试卷 题型:单选题

,则关于x的一元二次方程必有一根为

A. B. C. D.

查看答案和解析>>

科目:初中数学 来源:陕西省西安市2016-2017学年七年级上学期第二次月考数学试卷 题型:填空题

新学期开学整理教室时,老师总是先把每一列最前和最后的课桌摆好,然后再依次摆中间的课桌,一会儿一列课桌就摆在一条线上,整整齐齐,这是因为______________________.

查看答案和解析>>

同步练习册答案