精英家教网 > 初中数学 > 题目详情

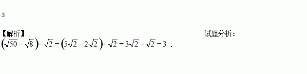
计算的结果是

练习册系列答案
相关习题

科目:初中数学 来源:江苏省2017届九年级模拟检测数学试卷 题型:解答题

如图,四边形ABCD内接于⊙O,BD是⊙O的直径,过点A作AE⊥CD,交CD的延长线于点E,DA平分∠BDE.

1)求证:AE是⊙O的切线;

(2)已知AE=8cm,CD=12cm,求⊙O的半径.

查看答案和解析>>

科目:初中数学 来源:江苏省徐州市2016-2017学年八年级(下)期末模拟数学试卷 题型:填空题

若分式的值为零,则x=______.

查看答案和解析>>

科目:初中数学 来源:江苏省东台市民办校联盟2016-2017学年八年级下学期期初调研考试数学试卷 题型:解答题

随着车辆的增加,交通违规的现象越来越严重,交警对人民路某雷达测速区检测到的一组汽车的时速数据进行整理(速度在30﹣40含起点值30,不含终点值40),得到其频数及频率如表:

(1)表中a、b、c、d分别为:a=____; b=____; c=____; d=____.

(2)补全频数分布直方图;

(3)如果某天该路段约有1500辆通过,汽车时速不低于60千米即为违章,通过该统计数据估计当天违章车辆约有多少辆?

查看答案和解析>>

科目:初中数学 来源:江苏省东台市民办校联盟2016-2017学年八年级下学期期初调研考试数学试卷 题型:填空题

若关于x的一元二次方程kx2-2x-1=0有两个不相等的实数根,则实数k的取值范围是_____

查看答案和解析>>

科目:初中数学 来源:江苏省东台市民办校联盟2016-2017学年八年级下学期期初调研考试数学试卷 题型:单选题

在反比例函数的图象的每一条曲线上,y都随x的增大而减小,则k的取值范围是(  ).

A. k>1 B. k>0 C. k≥1 D. k<1

查看答案和解析>>

科目:初中数学 来源:苏科版七年级下册数学第八章 幂的运算 单元测试 题型:解答题

三峡一期工程结束后的当年发电量为5.5×109千瓦·时,某市有10万户居民,若平均每户每年用电2.75×103千瓦·时,那么三峡工程该年所发的电能供该市居民使用多少年?(结果可以用科学计数法表示)

查看答案和解析>>

科目:初中数学 来源:苏科版七年级下册数学第八章 幂的运算 单元测试 题型:单选题

计算机是将信息转换成二进制数进行处理的,二进制即“逢2进1”,如(101)2表示二进制数,将它转换成十进制形式是:1×22+0×21+1×20=5,那么将二进制数(10101)2转换成十进制数是( )

A. 41 B. 2l C. 13 D. 11

查看答案和解析>>

科目:初中数学 来源:江苏省盐城市2017届九年级下学期第三次模拟考试数学试卷 题型:解答题

在一个布袋中装有颜色不同,其他都相同的白、红、黑三种颜色的球各1只,甲、乙两人进行摸球游戏,甲先从袋中摸出一球看清颜色后放回,再由乙从袋中摸出一球.

(1)试用树状图(或列表法)表示摸球游戏所有可能的结果;

(2)如果规定乙摸到与甲相同颜色的球为乙胜,否则甲胜,试问这个游戏对双方公平吗?说明理由.

查看答案和解析>>

同步练习册答案