精英家教网 > 初中数学 > 题目详情

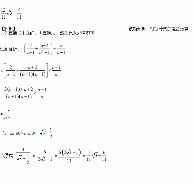
先化简,再求代数式的值. 其中a=tan600-sin300.

练习册系列答案
相关习题

科目:初中数学 来源:江苏省2016-2017学年八年级5月月考数学试卷 题型:填空题

计算: =____.

查看答案和解析>>

科目:初中数学 来源:黑龙江省大庆市2016-2017学年八年级下学期期中考试数学试卷 题型:解答题

(1);(2);(3);(4)

查看答案和解析>>

科目:初中数学 来源:黑龙江省大庆市2016-2017学年八年级下学期期中考试数学试卷 题型:单选题

已知线段CD是由线段AB平移得到的,点A(﹣1,4)的对应点为C(4,7),则点B(﹣4,﹣1)的对应点D的坐标为(  )

A. (1,2) B. (2,9) C. (5,3) D. (﹣9,﹣4)

查看答案和解析>>

科目:初中数学 来源:福建福州市 2017年九年级数学中考模拟试卷 题型:解答题

如图,延长平行四边形ABCD的边DC到点E,使CE=DC,连接AE,交BC于点F,连接AC、BE.

(1)求证:BF=CF;

(2)若AB=2,AD=4,且∠AFC=2∠D,求平行四边形ABCD的面积.

查看答案和解析>>

科目:初中数学 来源:福建福州市 2017年九年级数学中考模拟试卷 题型:填空题

分解因式:xy3﹣9xy=____________.

查看答案和解析>>

科目:初中数学 来源:福建福州市 2017年九年级数学中考模拟试卷 题型:单选题

如图是一个正方体的表面展开图,把展开图折叠成正方体后,与标号为1的顶点重合的是( )

A. 标号为2的顶点 B. 标号为3的顶点

C. 标号为4的顶点 D. 标号为5的顶点

查看答案和解析>>

科目:初中数学 来源:辽宁省营口市2017届九年级中考模拟数学试卷 题型:填空题

若关于x的分式方程﹣1=无解,则m的值为

查看答案和解析>>

科目:初中数学 来源:云南省个旧市北郊教育联合会2016-2017学年八年级下学期第三次月考数学试卷 题型:解答题

某次歌唱比赛,三名选手的成绩如下:

(1)若按三项的平均值取第一名,谁是第一名?

(2)若三项测试得分按3:6:1的比例确定个人的测试成绩,谁是第一名?

查看答案和解析>>

同步练习册答案