精英家教网 > 初中数学 > 题目详情
(1)计算:
(2)2sin60°-cot30°+4tan45°
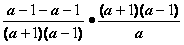
(3)先化简,后求值:,其中
(1)解:原式= = 4
(2)解:原式 
= = 4
(3)解:原式= 
=
时,原式= 
=
练习册系列答案
相关习题

科目:初中数学 来源: 题型:

在“3.15”消费者权益日的活动中,对甲、乙两家商场售后服务的满意度进行了抽查.如图反映了被抽查用户对两家商场售后服务的满意程度(以下称:用户满意度),分为很不满意、不满意、较满意、很满意四个等级,并依次记为1分、2分、3分、4分.
(1)请问:甲商场的用户满意度分数的众数为
 
;乙商场的用户满意度分数的众数为
 

(2)分别求出甲、乙两商场的用户满意度分数的平均值.(计算结果精确到0.01)
(3)请你根据所学的统计知识,判断哪家商场的用户满意度较高,并简要说明理由.
精英家教网

查看答案和解析>>

科目:初中数学 来源: 题型:

1、计算:-|-2|=(  )

查看答案和解析>>

科目:初中数学 来源: 题型:

1、计算:-52=(  )

查看答案和解析>>

科目:初中数学 来源: 题型:

20、计算:-3x•(2x2-x+4)=
-6x3+3x2-12x
;(2a-b)
(2a+b)
=4a2-b2

查看答案和解析>>

科目:初中数学 来源: 题型:

计算:2-1+(π-1)0=
 

查看答案和解析>>

同步练习册答案