精英家教网 > 初中数学 > 题目详情

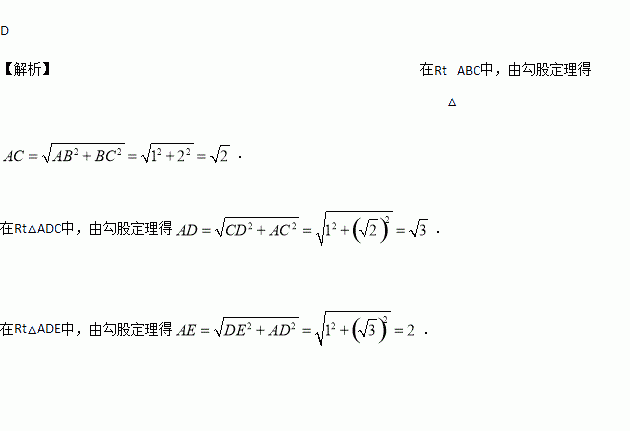
如图,AB=BC=CD=DE=1,AB⊥BC,AC⊥CD,AD⊥DE,则AE=( )

A. 1 B. C. D.2

练习册系列答案
相关习题

科目:初中数学 来源:2016-2017学年辽宁省八年级4月月考数学试卷(解析版) 题型:解答题

在平行四边形ABCD中,周长等于48,

①已知一边长12,求各边的长

②已知AB=2BC,求各边的长

③已知对角线AC、BD交于点O,△AOD与△AOB周长的差是10,求各边的长

查看答案和解析>>

科目:初中数学 来源:2016-2017学年辽宁省八年级4月月考数学试卷(解析版) 题型:填空题

比较大小: ________.

查看答案和解析>>

科目:初中数学 来源:2016-2017学年辽宁省八年级4月月考数学试卷(解析版) 题型:单选题

下列二次根式中,最简二次根式是( )

A. B. C. D.

查看答案和解析>>

科目:初中数学 来源:2016-2017学年江苏省南京市八年级3月月考数学试卷(解析版) 题型:解答题

“2015扬州鉴真国际半程马拉松”的赛事共有三项:“半程马拉松”“10公里”“迷你马拉松”。小明参加了该赛事的志愿者服务工作,组委会随机将志愿者分配到三个项目组。

(1)小明被分配到“迷你马拉松”项目组的概率是

(2)为估计本次赛事参加“迷你马拉松”的人数,小明对部分参赛选手做如下调查:

?请估算本次赛事参加“迷你马拉松”人数的概率 ;(精确到0.1)

?若本次参加选手大约有30000人,请你估计参加“迷你马拉松”的人数是多少。

查看答案和解析>>

科目:初中数学 来源:2016-2017学年江苏省南京市八年级3月月考数学试卷(解析版) 题型:单选题

如图,在□ABCD中,∠ODA= 90°,AC=10 cm,BD=6 cm,则BC的长为( )

A. 4 cm B. 5 cm C. 6 cm D. 8 cm

查看答案和解析>>

同步练习册答案