精英家教网 > 初中数学 > 题目详情

某个体户购进一批时令水果,20天销售完毕,他将本次销售情况进行了跟踪记录,根据所记录的数据绘制如下的函数图象,其中日销售量y(千克)与销售时间x(天)之间的函数关系如图(1)所示,销售单价p(元/千克)与销售时间x(天)之间的函数关系如图(2)所示。(销售额=销售单价×销售量)

(1)直接写出y与x之间的函数解析式;

(2)分别求第10天和第15天的销售额;

(3)若日销售量不低于24千克的时间段为“最佳销售期”,则此次销售过程中,“最佳销售期”共有多少天?在此期间销售单价最高为多少元?

练习册系列答案
相关习题

科目:初中数学 来源:河南省2016-2017学年七年级上学期期中考试数学试卷 题型:单选题

下列说法正确的是 ( )

A. 平方等于它本身的数只有0 B. 立方等于本身的数只有±1

C. 绝对值等于它本身的数只有正数 D. 倒数等于它本身的数只有±1

查看答案和解析>>

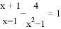
科目:初中数学 来源:陕西省西安市2017届九年级二模数学试卷 题型:解答题

解分式方程:

查看答案和解析>>

科目:初中数学 来源:浙江省杭州市萧山区瓜沥片2017届九年级12月月考数学试卷 题型:填空题

若a=2,b=8,那么a和b的比例中项为____________。

查看答案和解析>>

科目:初中数学 来源:浙江省杭州市萧山区瓜沥片2017届九年级12月月考数学试卷 题型:单选题

对于抛物线y=(x+1)2+3有以下结论:①抛物线开口向下;②对称轴为直线x=1;③顶点坐标为(﹣1,3);④x>1时,y随x的增大而减小.其中正确结论的个数为(  )

A. 1 B. 2 C. 3 D. 4

查看答案和解析>>

科目:初中数学 来源:人教版八年级数学下册 第19章 一次函数 单元测试卷精选 题型:填空题

如图,直线y=kx+b经过A(-2,-1)和B(-3,0)两点,则不等式-3≤-2x-5<kx+b的解集是_______________。

查看答案和解析>>

科目:初中数学 来源:人教版八年级数学下册 第19章 一次函数 单元测试卷精选 题型:单选题

为了节省空间,家里的饭碗一般是摞起来存放的.如果6只饭碗摞起来的高度为15cm,9只饭碗摞起来的高度为20cm,那么11只饭碗摞起来的高度更接近

A. 21cm B. 22cm C. 23cm D. 24cm

查看答案和解析>>

科目:初中数学 来源:江苏省连云港市灌云县西片2017届九年级上学期第二次月考数学试卷 题型:填空题

如图,⊙O的直径为16,AB、CD是互相垂直的两条直径,点P是弧AD上任意一点,经过P作PM⊥AB于M,PN⊥CD于N,点Q是MN的中点,当点P沿着弧AD从点A移动到终点D时,点Q走过的路径长为__.

查看答案和解析>>

科目:初中数学 来源:2017年四川省广元市中考数学二模试卷 题型:解答题

如图,二次函数y=x2+bx+c的图象交x轴于A、B两点,交y轴于点C,顶点为点P,经过B、C两点的直线为y=﹣x+3.

(1)求该二次函数的关系式;

(2)在该抛物线的对称轴上是否存在点M,使以点C、P、M为顶点的三角形是等腰三角形?若存在,请直接写出所有符合条件的点M的坐标;若不存在,请说明理由;

(3)连接AC,在x轴上是否存在点Q,使以点P、B、Q为顶点的三角形与△ABC相似?若存在,请求出点Q的坐标;若不存在,请说明理由.

查看答案和解析>>

同步练习册答案