精英家教网 > 初中数学 > 题目详情
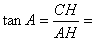
如图,在△ABC中,∠A=30°,AC求AB的长。
解:过点C 作CH⊥AB于H,设CH=x,
,得
AH=3,BH=2,
∴AB=5。
练习册系列答案
相关习题

科目:初中数学 来源: 题型:

20、如图,在△ABC中,∠BAC=45°,现将△ABC绕点A逆时针旋转30°至△ADE的位置,使AC⊥DE,则∠B=
75
度.

查看答案和解析>>

科目:初中数学 来源: 题型:

精英家教网如图,在△ABC中,∠ACB=90°,AC=BC=1,取斜边的中点,向斜边作垂线,画出一个新的等腰三角形,如此继续下去,直到所画出的直角三角形的斜边与△ABC的BC重叠,这时这个三角形的斜边为
(  )
A、
1
2
B、(
2
2
7
C、
1
4
D、
1
8

查看答案和解析>>

科目:初中数学 来源: 题型:

2、如图,在△ABC中,DE∥BC,那么图中与∠1相等的角是(  )

查看答案和解析>>

科目:初中数学 来源: 题型:

精英家教网如图,在△ABC中,AB=AC,且∠A=100°,∠B=
 
度.

查看答案和解析>>

科目:初中数学 来源: 题型:

14、如图,在△ABC中,AB=BC,边BC的垂直平分线分别交AB、BC于点E、D,若BC=10,AC=6cm,则△ACE的周长是
16
cm.

查看答案和解析>>

同步练习册答案