精英家教网 > 初中数学 > 题目详情

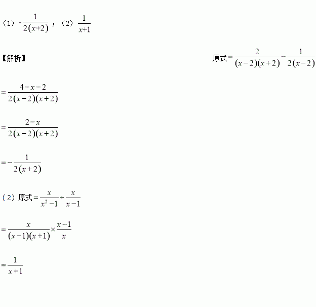
计算或化简(1). (2)

练习册系列答案
相关习题

科目:初中数学 来源:[中学联盟]江苏省丹阳市河阳中学2016-2017学年八年级上学期第一次月考数学试卷 题型:填空题

如图,△ABC≌△ADE,且∠EAB=120°,∠B=30°,∠CAD=10°,则∠CFA=______°.

查看答案和解析>>

科目:初中数学 来源:[中学联盟]新疆乌鲁木齐市第九十八中学2016-2017学年八年级下学期第二次月考数学试卷 题型:解答题

为了加强公民的节水意识,合理利用水资源,各地采用价格调控手段达到节约用水的目的,某市规定如下用水收费标准:每户每月的用水量不超过6立方米时,水费按每立方米a元收费,超过6立方米时,不超过的部分每立方米仍按a元收费,超过的部分每立方米按b元收费,该市小明家今年9、10月份的用水量和所交水费如下表所示:

月份

用水量(m3)

收费(元)

9

5

7.5

10

9

18

设小明家每月用水量x(立方米),应交水费y(元).

⑴则a= ,b=

⑵ 当x≤6,x>6时,分别写出y与x的函数关系式;

⑶ 若该户11月份、12月份用水量为14立方米共交水费27元(11月份用水小于12月份用水),求该户11月份水、12月份用水各多少立方米?

查看答案和解析>>

科目:初中数学 来源:[中学联盟]新疆乌鲁木齐市第九十八中学2016-2017学年八年级下学期第二次月考数学试卷 题型:单选题

下列各组数中,以a、b、c为边的三角形不是直角三角形的是( )

A. B.

C. D.

查看答案和解析>>

科目:初中数学 来源:[首发]江苏省灌云县西片2016-2017学年八年级下学期第二次月考(5月)数学试卷 题型:填空题

将x=代入函数y=﹣中,所得函数值记为y1,又将x=y1+1代入函数y=﹣中,所得的函数值记为y2,再将x=y2+1代入函数中,所得函数值记为y3…,继续下去.y1=  ;y2=  ;y3=  ;y2006=      

查看答案和解析>>

科目:初中数学 来源:[首发]江苏省灌云县西片2016-2017学年八年级下学期第二次月考(5月)数学试卷 题型:填空题

若方程有增根,则a=________.

查看答案和解析>>

科目:初中数学 来源:[首发]江苏省灌云县西片2016-2017学年八年级下学期第二次月考(5月)数学试卷 题型:单选题

一司机驾驶汽车从甲地去乙地,他以平均80千米/小时的速度用了4个小时到达乙地,当他按原路匀速返回时.汽车的速度v千米/小时与时间t小时的函数关系是(  )

A. v=320t B. v= C. v=20t D. v=

查看答案和解析>>

科目:初中数学 来源:[首发]江苏省盐城市2016-2017学年八年级下学期第二次学情考试数学试卷(A版) 题型:填空题

下列函数中, y随x增大而减小的有__________.(填序号)

查看答案和解析>>

科目:初中数学 来源:江苏省镇江市润州区2017届九年级中考二模数学试卷 题型:填空题

的倒数是______.

查看答案和解析>>

同步练习册答案