精英家教网 > 初中数学 > 题目详情
在平面上,七个边长为1的等边三角形,分别用①至⑦表示(如图)。从④⑤⑥⑦组成的图形中,取出一个三角形,使剩下的图形经过一次平移,与①②③组成的图形拼成一个正六边形。
(1)你取出的是哪个三角形?写出平移的方向和平移的距离;
(2)将取出的三角形任意放置在拼成的正六边形所在平面,问:正六边形没有被三角形盖住的面积能否等于?请说明理由。
解:(1)取出⑤,向上平移2个单位;
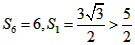
(2)可以做到,因为每个等边三角形的面积是
所以正六边形的面积为

所以只需用⑤的面积覆盖住正六边形就能做到。
练习册系列答案
相关习题

科目:初中数学 来源: 题型:

精英家教网在平面上,七个边长为1的等边三角形,分别用①至⑦表示(如图).从④⑤⑥⑦组成的图形中,取出一个三角形,使剩下的图形经过一次平移,与①②③组成的图形拼成一个正六边形
(1)你取出的是哪个三角形?写出平移的方向和平移的距离;
(2)将取出的三角形任意放置在拼成的正六边形所在平面,问:正六边形没有被三角形盖住的面积能否等于
52
?请说明理由.

查看答案和解析>>

科目:初中数学 来源: 题型:

(本小题满分8分)在平面上,七个边长为1的等边三角形,分别用①至⑦表示

(如图)。从④⑤⑥⑦组成的图形中,取出一个三角形,使剩下的图形经过一次平移,与①

②③组成的图形拼成一个正六边形

(1)你取出的是哪个三角形?写出平移的方向和平移的距离;

(2)将取出的三角形任意放置在拼成的正六边形所在平面,问:正六边形没有被三角形盖住的面积能否等于?请说明理由。

 

 

查看答案和解析>>

科目:初中数学 来源: 题型:

(本小题满分8分)在平面上,七个边长为1的等边三角形,分别用①至⑦表示
(如图)。从④⑤⑥⑦组成的图形中,取出一个三角形,使剩下的图形经过一次平移,与①
②③组成的图形拼成一个正六边形
(1)你取出的是哪个三角形?写出平移的方向和平移的距离;
(2)将取出的三角形任意放置在拼成的正六边形所在平面,问:正六边形没有被三角形盖住的面积能否等于?请说明理由。

查看答案和解析>>

科目:初中数学 来源:2011年初中毕业升学考试(浙江义乌卷)数学 题型:解答题

(本小题满分8分)在平面上,七个边长为1的等边三角形,分别用①至⑦表示
(如图)。从④⑤⑥⑦组成的图形中,取出一个三角形,使剩下的图形经过一次平移,与①
②③组成的图形拼成一个正六边形
(1)你取出的是哪个三角形?写出平移的方向和平移的距离;
(2)将取出的三角形任意放置在拼成的正六边形所在平面,问:正六边形没有被三角形盖住的面积能否等于?请说明理由。

查看答案和解析>>

科目:初中数学 来源:2011年初中毕业升学考试(湖北宜昌卷)数学 题型:解答题

(本小题满分8分)在平面上,七个边长为1的等边三角形,分别用①至⑦表示

(如图)。从④⑤⑥⑦组成的图形中,取出一个三角形,使剩下的图形经过一次平移,与①

②③组成的图形拼成一个正六边形

(1)你取出的是哪个三角形?写出平移的方向和平移的距离;

(2)将取出的三角形任意放置在拼成的正六边形所在平面,问:正六边形没有被三角形盖住的面积能否等于?请说明理由。

 

 

查看答案和解析>>

同步练习册答案