精英家教网 > 初中数学 > 题目详情

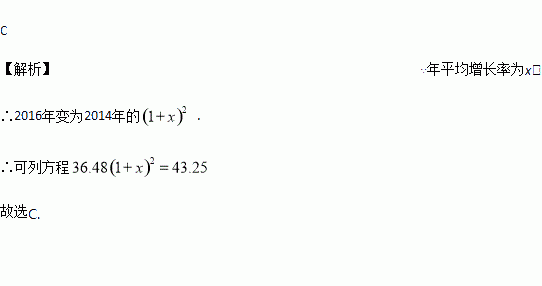
教育部发布的统计数据显示,近年来越来越多的出国留学人员学成后选择回国发展,留学回国与出国留学人数“逆差”逐渐缩小.2014年各类留学回国人员总数为36.48万人,而2016年各类留学回国人员总数为43.25万人.如果设2014年到2016年各类留学回国人员总数的年平均增长率为x,那么根据题意可列出关于x的方程为( ).

A. B.

C. D.

练习册系列答案
相关习题

科目:初中数学 来源:江苏省泰州市姜堰区2016-2017学年七年级下学期期末考试数学试卷 题型:单选题

下列各组的两个图形属于全等图形的是 ( )

A. B.

C. D.

查看答案和解析>>

科目:初中数学 来源:河北省秦皇岛市卢龙县2016-2017学年七年级下学期期末考试数学试卷 题型:单选题

如图,数轴上表示1、的对应点分别为点A、点B.若点A是BC的中点,则点C所表示的数为 ( )

A. B. C. D.

查看答案和解析>>

科目:初中数学 来源:北京市西城区2016-2017学年八年级下学期期末考试数学试卷 题型:解答题

《九章算术》卷九“勾股”中记载:今有户不知高广,竿不知长短.横之不出四尺,纵之不出二尺,斜之适出注.问户斜几何.

注释:横放,竿比门宽长出四尺;竖放,竿比门高长出二尺;斜放恰

好能出去.

解决下列问题:

 (1)示意图中,线段CE的长为 尺,线段DF的长为 尺;

(2)求户斜多长.

查看答案和解析>>

科目:初中数学 来源:北京市西城区2016-2017学年八年级下学期期末考试数学试卷 题型:填空题

如图,在ABCD中,CH⊥AD于点H,CH与BD的交点为E.如果,那么_____°.

查看答案和解析>>

科目:初中数学 来源:北京市西城区2016-2017学年八年级下学期期末考试数学试卷 题型:单选题

如图,矩形ABCD的对角线AC,BD的交点为O,点E为BC边的中点, ,如果OE=2,那么对角线BD的长为( ).

A. 4 B. 6 C. 8 D. 10

查看答案和解析>>

科目:初中数学 来源:安徽省芜湖市南陵县许镇镇2016-2017学年七年级下学期数学竞赛试卷 题型:解答题

已知某一铁路桥长1000米,现有一列火车从桥上通过,小亮和小芳从不同的角度进行了观察:小亮:火车从开始上桥到完全通过共用1分钟.小芳:整个火车完全在桥上的时间为40秒钟.请根据以上信息,求出火车的长度和火车的速度.

查看答案和解析>>

科目:初中数学 来源:安徽省芜湖市南陵县许镇镇2016-2017学年七年级下学期数学竞赛试卷 题型:单选题

一个纸环链,纸环按红黄绿蓝紫的顺序重复排列,截去其中的一部分,剩下部分如图所示,则被截去部分纸环的个数可能是( )

A.2010 B.2011 C.2012 D.2013

查看答案和解析>>

科目:初中数学 来源:广东省揭阳市揭西县2016-2017学年八年级下学期期末考试数学试卷 题型:解答题

解不等式组: ,并把它的解集在数轴上表示出来。

查看答案和解析>>

同步练习册答案