精英家教网 > 初中数学 > 题目详情

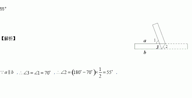
如图折叠一张矩形纸片,已知∠1=70°,则∠2的度数是__.

练习册系列答案
相关习题

科目:初中数学 来源:安徽省阜阳市2016-2017学年七年级下学期期末考试数学试卷 题型:解答题

计算:

查看答案和解析>>

科目:初中数学 来源:四川省苍溪县2017届九年级第二次模拟考试数学试卷 题型:解答题

已知甲同学手中藏有三张分别标有数字、1的卡片,乙同学手中藏有三张分别标有数字1、3、2的卡片,卡片外形相同.现从甲乙两人手中各任取一张卡片,并将它们的数字分别记为a,b.

(1)请你用树形图或列表法列出所有可能的结果;

(2)现制定一个游戏规则:若所选出的a,b能使得ax2+bx+1=0有两个不相等的实数根,则甲获胜;否则乙获胜.请问这样的游戏规则公平吗?请用概率知识解释.

查看答案和解析>>

科目:初中数学 来源:四川省苍溪县2017届九年级第二次模拟考试数学试卷 题型:单选题

中国倡导的“一带一路”建设将促进我国与世界各国的互利合作,根据规划,“一带一路”地区覆盖总人口约为4400000000人,这个数用科学记数法表示为(  )

A. 44×108 B. 4.4×109 C. 4.4×108 D. 4.4×1010

查看答案和解析>>

科目:初中数学 来源:四川省广安市岳池县2016-2017学年七年级下学期期末考试数学试卷 题型:解答题

解方程(组)

(1)

(2)

查看答案和解析>>

科目:初中数学 来源:四川省广安市岳池县2016-2017学年七年级下学期期末考试数学试卷 题型:填空题

=_________.

查看答案和解析>>

科目:初中数学 来源:四川省广安市岳池县2016-2017学年七年级下学期期末考试数学试卷 题型:单选题

若一个数的算术平方根和立方根都等于它本身,则这个数一定是( )

A. 0或1 B. 1或-1 C. 0或±1 D. 0

查看答案和解析>>

科目:初中数学 来源:四川省广安市岳池县2016-2017学年七年级下学期期末考试数学试卷 题型:填空题

若不等式的解集中有个正整数,则的值为__________.

查看答案和解析>>

科目:初中数学 来源:江苏省泰兴市2016-2017学年八年级下学期期末考试数学试卷 题型:解答题

为缓解城市交通压力,某市启动地铁工程,在一号线地铁工程开工期间,某工程队负责修建一条长1800米的隧道,计划每天修建隧道x米,若施工12天后工程队采用新的施工方式,工效可以提升50%,预计比原计划提前56天完成任务.

(1)工程队采用新的施工方式后,修建隧道的长度为   米;(用含有x的代数式表示)

(2)求x的值.

查看答案和解析>>

同步练习册答案