精英家教网 > 初中数学 > 题目详情

为了了解一批电视机的使用寿命,从中抽取100台电视机进行试验,这个问题的样本是(  )

A. 这批电视机 B. 这批电视机的使用寿命

C. 抽取的100台电视机的使用寿命 D. 100台

练习册系列答案
相关习题

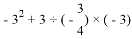
科目:初中数学 来源:四川外语学院重庆第二外国语学校2016-2017学年七年级下学期第二次月考(期中)数学试卷 题型:解答题

计算:(1);(2)

查看答案和解析>>

科目:初中数学 来源:河北省秦皇岛市2016-2017学年七年级下学期期末考试数学试卷 题型:单选题

下列统计中,能用“全面调查”的是(  )

A. 某厂生产的电灯使用寿命 B. 全国初中生的视力情况

C. 某校七年级学生的身高情况 D. “娃哈哈”产品的合格率

查看答案和解析>>

科目:初中数学 来源:青海省2016-2017学年七年级6月月考数学试卷 题型:填空题

不等式3x+2≥5的解集是__________.

查看答案和解析>>

科目:初中数学 来源:青海省2016-2017学年七年级6月月考数学试卷 题型:单选题

不等式5-2x≥x-4的非负整数解有(  )

A. 1个 B. 2个 C. 3个 D. 4个

查看答案和解析>>

科目:初中数学 来源:广西南宁市2016-2017学年七年级上学期期中段考数学试卷 题型:解答题

计算(1) (2)

(3) (4)

查看答案和解析>>

科目:初中数学 来源:广西南宁市2016-2017学年七年级上学期期中段考数学试卷 题型:填空题

用四舍五入法对取近似值,精确到千分位的结果是___________.

查看答案和解析>>

科目:初中数学 来源:北京市2016-2017学年度第二学期七年级数学期中试卷 题型:解答题

按要求作图

(1)作BE∥AD交DC于E;

(2)连接AC,作BF∥AC交DC的延长线于F;

(3)作AG⊥DC于G.

查看答案和解析>>

科目:初中数学 来源:四川外语学院重庆第二外国语学校2016-2017学年八年级下学期第二次月考数学试卷 题型:单选题

这六个数中,随机选取一个数,记为.若数使关于的不等式组无解,且使关于的分式方程有整数解,那么这六个数中所有满足条件的的值之和是( )

A. B. C. D.

查看答案和解析>>

同步练习册答案