精英家教网 > 初中数学 > 题目详情
已知3既是(x-1)的算术平方根,又是(x-2y+1)的立方根,求x2-y2的平方根。
解:∵3既是(x-1)的算术平方根,又是(x-2y+1)的立方根,
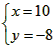
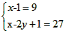
,解得
∴x2-y2=102-(-8)2=36,
∴x2-y2的平方根是
练习册系列答案
相关习题

科目:初中数学 来源: 题型:

下列说法中正确命题有(  )
①一个角的两边分别垂直于另一个角的两边,则这两个角相等.
②已知甲、乙两组数据的方差分别为:
S
2
=0.12, 
S
2
=0.09
,则甲的波动大.
③等腰梯形既是中心对称图形,又是轴对称图形.
④Rt△ABC中,∠C=90°,两直角边a,b分别是方程x2-7x+7=0的两个根,则AB边上的中线长为
1
2
35

查看答案和解析>>

科目:初中数学 来源: 题型:

(2013•来宾)已知图形:①等边三角形,②平行四边形,③菱形,④圆.其中既是轴对称图形,又是中心对称图形的有(  )

查看答案和解析>>

科目:初中数学 来源: 题型:

已知3既是x-1的平方根,也是x-2y+1的立方根,求x2-y2的平方根.

查看答案和解析>>

科目:初中数学 来源: 题型:解答题

已知3既是x-1的平方根,也是x-2y+1的立方根,求x2-y2的平方根.

查看答案和解析>>

同步练习册答案