精英家教网 > 初中数学 > 题目详情
如图,某同学在测量建筑物AB的高度时,在地面的C处测得点A的仰角为30°,向前走60米到达D处,在D处测得点A的仰角为45°,求建筑物AB的高度。
解:设建筑物AB的高度为x米,
在Rt△ABD 中,∠ADB=45°,
∴AB=DB=x,
∴BC=DB+CD= x+60,
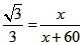
在Rt△ABC 中,∠ACB=30°,
∴tan∠ACB=


∴x=30+30
∴建筑物AB的高度为(30+30)米。
练习册系列答案
相关习题

科目:初中数学 来源: 题型:

精英家教网如图,某同学在测量建筑物AB的高度时,在地面的C处测得点A的仰角为30°,向前走60米到达D处,在D处测得点A的仰角为45°,求建筑物AB的高度.

查看答案和解析>>

科目:初中数学 来源: 题型:

如图,某同学在测量建筑物AB的高度时,在地面的C处测得点A的仰角为30°,向前走60米到达D处,在D处测得点A的仰角为45°,求建筑物AB的高度.

 

查看答案和解析>>

科目:初中数学 来源: 题型:

如图,某同学在测量建筑物AB的高度时,在地面的C处测得点A的仰角为30°,向前走60米到达D处,在D处测得点A的仰角为45°,求建筑物AB的高度.

查看答案和解析>>

科目:初中数学 来源:2011届北京市门头沟区初三第一学期期末数学卷 题型:解答题

如图,某同学在测量建筑物AB的高度时,在地面的C处测得点A的仰角为30°,向前走60米到达D处,在D处测得点A的仰角为45°,求建筑物AB的高度.

查看答案和解析>>

科目:初中数学 来源:2010-2011年北京市平谷区九年级上学期期末考试数学卷 题型:解答题

(本小题满分5分)

如图,某同学在测量建筑物AB的高度时,在地面的C处测得点A的仰角为30°,向前走60米到达D处,在D处测得点A的仰角为45°,求建筑物AB的高度.

 

查看答案和解析>>

同步练习册答案