精英家教网 > 初中数学 > 题目详情

四边形ABCD中,AD∥BC,要使四边形ABCD成为平行四边形还需满足的条件是_____(横线只需填一个你认为合适的条件即可)

练习册系列答案
相关习题

科目:初中数学 来源:吉林省长春市等五校2016-2017学年八年级上学期第一次素质教育交流研讨考试数学试卷 题型:单选题

计算的结果正确的是( )

A. B.

查看答案和解析>>

科目:初中数学 来源:江苏省仪征市2016-2017学年八年级12月月考数学试卷 题型:填空题

如图是一个围棋棋盘的局部,若把这个围棋棋盘放置在一个平面直角坐标系中,白棋①的坐标是(-3,-1),白棋③的坐标是(-2,-3),则黑棋②的坐标是___________.

查看答案和解析>>

科目:初中数学 来源:黑龙江省大庆市林甸县2016-2017学年八年级(下)期末模拟试卷 题型:解答题

近年来雾霾天气给人们的生活带来很大影响,空气质量问题倍受人们关注.某单位计划在室内安装空气净化装置,需购进A、B两种设备.每台B种设备价格比每台A种设备价格多0.7万元,花3万元购买A种设备和花7.2万元购买B种设备的数量相同.

(1)求A种、B种设备每台各多少万元?

(2)根据单位实际情况,需购进A、B两种设备共20台,总费用不高于15万元,求A种设备至少要购买多少台?

查看答案和解析>>

科目:初中数学 来源:黑龙江省大庆市林甸县2016-2017学年八年级(下)期末模拟试卷 题型:解答题

先化简,再求值: ,其中x=+1.

查看答案和解析>>

科目:初中数学 来源:黑龙江省大庆市林甸县2016-2017学年八年级(下)期末模拟试卷 题型:单选题

若关于x的分式方程的解为非负数,则a的取值范围是(  )

A. a≥1 B. a>1 C. a≥1且a≠4 D. a>1且a≠4

查看答案和解析>>

科目:初中数学 来源:黑龙江省大庆市林甸县2016-2017学年八年级(下)期末模拟试卷 题型:单选题

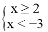
如图表示下列四个不等式组中其中一个的解集,这个不等式组是(  )

A. B. C. D.

查看答案和解析>>

科目:初中数学 来源:广东省汕头市2016-2017学年八年级上学期期中考试数学试卷 题型:填空题

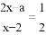
如图,△ABC≌△DEF,请根据图中提供的信息,写出x=_________.

查看答案和解析>>

科目:初中数学 来源:河北省石家庄市2017届中考数学二模试卷 题型:解答题

“赏中华诗词,寻文化基因,品生活之美”,某校举办了首届“中国诗词大会”,经选拔后有50名学生参加决赛,这50名学生同时默写50首古诗词,若每正确默写出一首古诗词得2分,根据测试成绩绘制出部分频数分布表和部分频数分布直方图如图表:

请结合图表完成下列各题:

(1)①表中a的值为 ; ②频数分布直方图补充完整;

(2)若测试成绩不低于80分为优秀,则本次测试的优秀率是

(3)第5组10名同学中,有4名男同学,现将这10名同学平均分成两组进行对抗练习,且4名男同学每组分两人,求小明与小强两名男同学能分在同一组的概率.

查看答案和解析>>

同步练习册答案