精英家教网 > 初中数学 > 题目详情

(本小题满分8分)

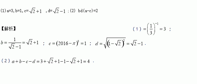
已知

(1)化简这四个数;

(2)把这四个数,通过恰当的运算后使结果为,请列式并写出运算过程.

练习册系列答案
相关习题

科目:初中数学 来源:贵州省六盘水市2016-2017学年七年级下学期第一次月考数学试卷 题型:解答题

(应用题)在长为,宽为的长方形铁片上,挖去长为,宽为的小长方形铁片,求剩余部分面积。

查看答案和解析>>

科目:初中数学 来源:福建省莆田市2016届九年级数学能力达标练习05 题型:单选题

用科学记数法表示10000,正确的是

A. 1万 B. C. D.

查看答案和解析>>

科目:初中数学 来源:云南昆明市 2017年九年级数学中考模拟试卷(含答案) 题型:单选题

小丽的父亲饭后去散步,从家中走20分钟到离家1000米的报亭看了10分钟的报纸后,用15分钟返回家里,下列各图中表示小丽父亲离家的时间与距离之间的关系是( )

A. B. C. D.

查看答案和解析>>

科目:初中数学 来源:浙江省杭州市2016-2017学年八年级下学期期中考试数学试卷 题型:解答题

(本小题10分)

如图1,以□BMDC的两相邻边CB、CD为腰,在□BMDC的外侧,作两个等腰Rt△CBF和Rt△CDH,则□ BMDC中与C相对的顶点M与这两等腰直角三角形的两顶点F、H形成一个新的等腰直角三角形FMH. 请证明△FMH为等腰直角三角形。

如图2,以□BMDC的两相邻边CB、CD为腰, 在□BMDC的外侧,作两个等腰△CBF和△CDH,使其顶角∠CBF=∠CDH=α,则□BMDC中与C相对的顶点M与两等腰三角形的两顶点F、H形成一个新的等腰三角形,写出顶角∠FMH的度数。试说明理由。

查看答案和解析>>

科目:初中数学 来源:浙江省杭州市2016-2017学年八年级下学期期中考试数学试卷 题型:填空题

已知,则_____________.

查看答案和解析>>

科目:初中数学 来源:浙江省杭州市2016-2017学年八年级下学期期中考试数学试卷 题型:单选题

一元二次方程配方后可变形为( )

A. B.

C. D.

查看答案和解析>>

科目:初中数学 来源:湖南省永州市江永县千家峒学校2016-2017学年七年级下学期期中考试数学试卷(附答案) 题型:解答题

(x+y)( x-y)( x2+y2)

查看答案和解析>>

科目:初中数学 来源:广东省2017届九年级下学期期中考试数学试卷 题型:填空题

某药店响应国家政策,某品牌药连续两次降价,由开始每盒16元下降到每盒14元.设每次降价的平均百分率是x,则列出关于x的方程是__.

查看答案和解析>>

同步练习册答案