精英家教网 > 初中数学 > 题目详情
如图,已知直径与等边△ABC的高相等的圆O分别与边AB、BC相切于点D、E,边AC过圆心O与圆O相交于点F、G.(1)求证:DE∥AC;
(2)若△ABC的边长为a,求△ECG的面积。

解:(1)∵△ABC是等边三角形,
∴∠B=60°,∠C=60°;
∵AB、BC是圆O的切线,D、E是切点,
∴BD=BE,
∴∠BDE=60°,∠A=60°,有DE∥AC;
(2)分别连接OD、OE,作EH⊥AC于点H,
∵AB、BC是圆O的切线,D、E是切点,O是圆心,
∴∠ADO=∠OEC=90°,OD=OE,AD=EC,
∴△ADO≌△CEO,有AO=OC=a,
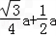
∵圆O的直径等于△ABC的高,得半径OG=
∴CG=OC+OG=a+
∵EH⊥OC,∠C=60°,

∴∠COE=30°,EH=
∵S△ECG=CG·EH=

练习册系列答案
相关习题

科目:初中数学 来源: 题型:

如图,已知直径与等边△ABC的高相等的圆O分别与边AB、BC相切于点D、E,边AC过圆心O与圆O精英家教网相交于点F、G.
(1)求证:DE∥AC;
(2)若△ABC的边长为a,求△ECG的面积.

查看答案和解析>>

科目:初中数学 来源: 题型:

17、如图,已知直径与等边三角形ABC的高相等的圆AB和BC边相切于点D和E,与AC边相交于点F和G,求∠DEF的度数.

查看答案和解析>>

科目:初中数学 来源: 题型:解答题

如图,已知直径与等边△ABC的高相等的圆O分别与边AB、BC相切于点D、E,边AC过圆心O与圆O相交于点F、G.
(1)求证:DE∥AC;
(2)若△ABC的边长为a,求△ECG的面积.

查看答案和解析>>

科目:初中数学 来源:2012-2013学年北京市三十五中九年级(上)期中数学试卷(解析版) 题型:解答题

如图,已知直径与等边△ABC的高相等的圆O分别与边AB、BC相切于点D、E,边AC过圆心O与圆O相交于点F、G.
(1)求证:DE∥AC;
(2)若△ABC的边长为a,求△ECG的面积.

查看答案和解析>>

科目:初中数学 来源:2013年中考数学押题试卷(一)(解析版) 题型:解答题

如图,已知直径与等边△ABC的高相等的圆O分别与边AB、BC相切于点D、E,边AC过圆心O与圆O相交于点F、G.
(1)求证:DE∥AC;
(2)若△ABC的边长为a,求△ECG的面积.

查看答案和解析>>

同步练习册答案