精英家教网 > 初中数学 > 题目详情
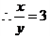
已知的值.
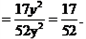
解:解法一;
解法二:
练习册系列答案
相关习题

科目:初中数学 来源: 题型:

(1)已知 的值    

(2) 已知,求的值

 

查看答案和解析>>

科目:初中数学 来源:2012-2013学年贵州沿河四中七年级第二次月考数学试卷(带解析) 题型:单选题

已知的值是(    )

A.B.C.D.

查看答案和解析>>

科目:初中数学 来源:2011年河北省隆尧县尧山中学初二下学期第一次月考数学卷 题型:解答题

(1)已知的值    
(2) 已知,求的值

查看答案和解析>>

科目:初中数学 来源:2012-2013学年广西贵港市毕业班第一次教学质量监测数学试卷(解析版) 题型:解答题

(1)计算:

(2)已知的值.

 

查看答案和解析>>

科目:初中数学 来源:2011-2012年四川省八年级上学期期中检测数学卷 题型:解答题

(6分)化简求值:已知的值

 

查看答案和解析>>

同步练习册答案