精英家教网 > 初中数学 > 题目详情

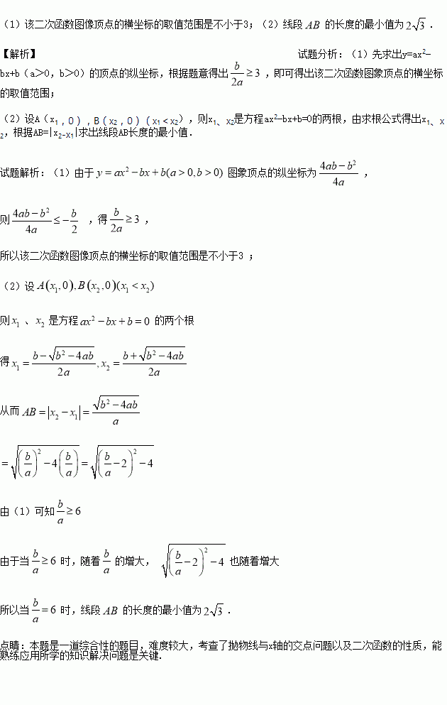
二次函数:y=ax2-bx+b(a>0,b>0)图象顶点的纵坐标不大于.

(1)求该二次函数图象顶点的横坐标的取值范围;

(2)若该二次函数图象与轴交于A、B两点,求线段AB长度的最小值.

练习册系列答案
相关习题

科目:初中数学 来源:山东省滨州市博兴县2016-2017学年七年级下学期期末考试数学试卷 题型:单选题

已知方程组,那么x+y的值(  )

A. -1 B. 1 C. 0 D. 5

查看答案和解析>>

科目:初中数学 来源:山东省东营市四校连赛(五四制)2016-2017学年八年级下学期期末考试数学试卷 题型:单选题

(2015秋•常州期末)若一个三角形的三边长分别为6、8、10,则这个三角形最长边上的中线长为( )

A.3.6 B.4 C.4.8 D.5

查看答案和解析>>

科目:初中数学 来源:黑龙江省大庆市2016-2017学年八年级下学期期末考试数学试卷 题型:填空题

随着海拔高度的升高,大气压强下降,空气中的含氧量也随之下降,即含氧量y(g/m3)与大气压强x(kPa)成正比例函数关系.当x=36(kPa)时,y=108(g/m3),请写出y与x的函数关系式

查看答案和解析>>

科目:初中数学 来源:黑龙江省大庆市2016-2017学年八年级下学期期末考试数学试卷 题型:单选题

在一组数据3、4、4、6、8中,下列说法正确的是( )

A. 平均数小于中位数 B. 平均数等于中位数

C. 平均数大于中位数 D. 平均数等于众数

查看答案和解析>>

科目:初中数学 来源:黑龙江省大庆市(五四制)2017届九年级4月周考(五)数学试卷 题型:解答题

(1)计算

(2)解不等式组:

查看答案和解析>>

科目:初中数学 来源:黑龙江省大庆市(五四制)2017届九年级4月周考(五)数学试卷 题型:填空题

某一型号飞机着陆后滑行的距离y(单位:m)与滑行时间x(单位:s)之间的函数关系式为,该型号飞机着陆后滑行______m才能停下来.

查看答案和解析>>

科目:初中数学 来源:北京市昌平区2016-2017学年七年级下学期期末考试数学试卷 题型:解答题

如图所示,已知前两个天平两端保持平衡.要使第三个天平两端保持平衡,天平的右边应放几个圆形?请写出你的思路.

查看答案和解析>>

科目:初中数学 来源:辽宁省2016-2017学年七年级下学期期末考试数学试卷 题型:单选题

已知点p(3-m,m-1)在第四象限,则m的取值范围在数轴上表示正确的是( )

A. B. C. D.

查看答案和解析>>

同步练习册答案