精英家教网 > 初中数学 > 题目详情

若点A(1,)和点B(2,)在反比例函数图像上,则的大小关系是:_______(填“>”、“<”或“=”).

练习册系列答案
相关习题

科目:初中数学 来源:内蒙古毕业第一次模拟考试数学试卷 题型:单选题

如图,已知△ABC,AB<BC,用尺规作图的方法在BC上取一点P,使得PA+PC=BC,则下列选项正确的是

A. B. C. D.

查看答案和解析>>

科目:初中数学 来源:重庆市2017届九年级下学期开学考试数学试卷 题型:解答题

有两组卡片,第一组的三张卡片上分别写有数字3,4,5,第二组的三张卡片上分别写有数字1,3,5,现从每组卡片中各随机抽出一张,用抽取的第一组卡片的数字减去抽取的第二组卡片上的数字,差为正数的概率为__________

查看答案和解析>>

科目:初中数学 来源:江苏省盐城市2015-2016学年八年级下学期期末考试数学试卷 题型:解答题

为顺利通过“文明城市”验收,盐城市政府拟对部分地区进行改造,根据市政建设需要,须在16天之内完成工程.现有甲、乙两个工程队,经调查知道:乙队单独完成此工程的时间是甲队单独完成此工程时间的2倍,若甲、乙两队合作只需12天完成.

(1)求甲、乙工程队单独完成这项工程各需要多少天?

(2)两队合作完成此项工程,若甲队参与施工a天,乙队参与施工b天,试用含a的代数式表示b;

(3)若甲队每天的工程费用是0.6万元, 乙队每天的工程费用是0.25万元,请你设计一种方案,既能按时完工,又能使工程费最少?

查看答案和解析>>

科目:初中数学 来源:江苏省盐城市2015-2016学年八年级下学期期末考试数学试卷 题型:解答题

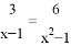
(1)计算:

(2)解方程:

查看答案和解析>>

科目:初中数学 来源:江苏省盐城市2015-2016学年八年级下学期期末考试数学试卷 题型:单选题

如图,若双曲线与它的一条对称轴交于A、B两点,则线段AB称为双曲线的“对径”.若双曲线的对径长是,则 k的值为( )

A. 2 B. 4 C. 6 D.

查看答案和解析>>

科目:初中数学 来源:江西省2016-2017学年八年级下学期第二次段考数学试卷 题型:解答题

在正方形ABCD中,过点A引射线AH,交边CD于点H(点H与点D不重合).通过翻折,使点B落在射线AH上的点G处,折痕AE交BC于E,延长EG交CD于F.

(1)如图①,当点H与点C重合时,可得FG  FD.(大小关系)

(2)如图②,当点H为边CD上任意一点时,猜想FG与FD的数量关系,并说明理由.

(3)在图②中,当AB=8,BE=3时,利用探究的结论,求CF的长.

查看答案和解析>>

科目:初中数学 来源:江西省2016-2017学年八年级下学期第二次段考数学试卷 题型:单选题

如图,正方形ABCD的边长为8,点M在DC上,且DM=2,N是AC上一动点,则DN+MN的最小值为( )

A. 8 B. C. 10 D.

查看答案和解析>>

科目:初中数学 来源:广东省2016-2017学年八年级下学期第二次月考数学试卷(B卷) 题型:填空题

如图,已知O是□ABCD的对角线交点,AC=24,BD=38,AD=14,那么△OBC的周长等于__________.

查看答案和解析>>

同步练习册答案