精英家教网 > 初中数学 > 题目详情

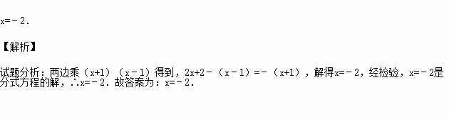
关于x的分式方程的解是

练习册系列答案
相关习题

科目:初中数学 来源:2017年初中毕业升学考试(四川宜宾卷)数学(解析版) 题型:选择题

如图,在矩形ABCD中BC=8,CD=6,将△ABE沿BE折叠,使点A恰好落在对角线BD上F处,则DE的长是( )

A.3 B. C.5 D.

查看答案和解析>>

科目:初中数学 来源:2017年初中毕业升学考试(四川南充卷)数学(解析版) 题型:解答题

在“宏扬传统文化,打造书香校园”活动中,学校计划开展四项活动:“A﹣国学诵读”、“B﹣演讲”、“C﹣课本剧”、“D﹣书法”,要求每位同学必须且只能参加其中一项活动,学校为了了解学生的意愿,随机调查了部分学生,结果统计如下:

(1)如图,希望参加活动C占20%,希望参加活动B占15%,则被调查的总人数为 人,扇形统计图中,希望参加活动D所占圆心角为 度,根据题中信息补全条形统计图.

(2)学校现有800名学生,请根据图中信息,估算全校学生希望参加活动A有多少人?

查看答案和解析>>

科目:初中数学 来源:2017年初中毕业升学考试(四川南充卷)数学(解析版) 题型:选择题

如果a+3=0,那么a的值是( )

A.3 B.﹣3 C. D.

查看答案和解析>>

科目:初中数学 来源:2017年初中毕业升学考试(四川绵阳卷)数学(解析版) 题型:解答题

(1)计算:

(2)先化简,再求值:,其中x=,y=

查看答案和解析>>

科目:初中数学 来源:2017年初中毕业升学考试(四川绵阳卷)数学(解析版) 题型:选择题

如图,矩形ABCD的对角线AC与BD交于点O,过点O作BD的垂线分别交AD,BC于E,F两点.若AC=,∠AEO=120°,则FC的长度为( )

A.1 B.2 C. D.

查看答案和解析>>

科目:初中数学 来源:2017年初中毕业升学考试(四川绵阳卷)数学(解析版) 题型:选择题

下列图案中,属于轴对称图形的是( )

A. B. C. D.

查看答案和解析>>

科目:初中数学 来源:2017年初中毕业升学考试(四川眉山卷)数学(解析版) 题型:选择题

若一次函数y=(a+1)x+a的图象过第一、三、四象限,则二次函数( )

A.有最大值 B.有最大值﹣ C.有最小值 D.有最小值﹣

查看答案和解析>>

科目:初中数学 来源:2017年初中毕业升学考试(新疆乌鲁木齐卷)数学(解析版) 题型:解答题

我国古代数学名著《孙子算经》中有“鸡兔同笼”问题:“今有鸡兔同笼,上有三十五头,下有九十四足,问鸡兔各几何”,意思是:鸡和兔关在一个笼子里,从上面看有个头,从下面看有条腿,问笼中鸡或兔各有多少只?

查看答案和解析>>

同步练习册答案