精英家教网 > 初中数学 > 题目详情
在平面直角坐标系中,现将一块等腰直角三角板ABC放在第二象限,斜靠在两坐标轴上,且点A(0,2),点C(-1,0),如图所示:抛物线y=ax2+ax-2经过点。
(1)求点B的坐标;
(2)求抛物线的解析式;
(3)在抛物线上是否还存在点P(点B除外),使△ACP 仍然是以AC为直角边的等腰直角三角形?若存在,求所有点P的坐标;若不存在,请说明理由。

解:(1)过点B作BD⊥x轴,垂足为D,
∵∠BCD+∠ACO=90°,∠ACO+∠CAO=90°,
∴∠BCD=∠CAO,
又∵∠BDC=∠COA=90°,CB=AC,
∴△BCD≌△CAO,
∴BD=OC=1,CD=OA=2,
∴点B的坐标为(-3,1);
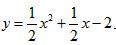
(2)抛物线y=ax2+ax-2经过点B(-3,1),则得到1=9a-3a-2,
解得a=
所以抛物线的解析式为
(3)假设存在点P,使得△ACP仍然是以AC为直角边的等腰直角三角形:
①若以点C为直角顶点;
则延长BC至点P1,使得P1C=BC,得到等腰直角三角形△ACP1
过点P1作P1M⊥x轴,
∵CP1=BC,∠MCP1=∠BCD,∠P1MC=∠BDC=90°,
∴△MP1C≌△DBC,
∴CM=CD=2,P1M=BD=1,可求得点P1(1,-1);
②若以点A为直角顶点;
则过点A作AP2⊥CA,且使得AP2=AC,得到等腰直角三角形△ACP2
过点P2作P2N⊥y轴,同理可证△AP2N≌△CAO,
∴NP2=OA=2,AN=OC=1,可求得点P2(2,1),
经检验,点P1(1,-1)与点P2(2,1)都在抛物线上。

练习册系列答案
相关习题

科目:初中数学 来源: 题型:

28、在平面直角坐标系中,点P到x轴的距离为8,到y轴的距离为6,且点P在第二象限,则点P坐标为
(-6,8)

查看答案和解析>>

科目:初中数学 来源: 题型:

10、在平面直角坐标系中,点P1(a,-3)与点P2(4,b)关于y轴对称,则a+b=
-7

查看答案和解析>>

科目:初中数学 来源: 题型:

在平面直角坐标系中,有A(2,3)、B(3,2)两点.
(1)请再添加一点C,求出图象经过A、B、C三点的函数关系式.
(2)反思第(1)小问,考虑有没有更简捷的解题策略?请说出你的理由.

查看答案和解析>>

科目:初中数学 来源: 题型:

如图,在平面直角坐标系中,开口向下的抛物线与x轴交于A、B两点,D是抛物线的顶点,O为精英家教网坐标原点.A、B两点的横坐标分别是方程x2-4x-12=0的两根,且cos∠DAB=
2
2

(1)求抛物线的函数解析式;
(2)作AC⊥AD,AC交抛物线于点C,求点C的坐标及直线AC的函数解析式;
(3)在(2)的条件下,在x轴上方的抛物线上是否存在一点P,使△APC的面积最大?如果存在,请求出点P的坐标和△APC的最大面积;如果不存在,请说明理由.

查看答案和解析>>

科目:初中数学 来源: 题型:

18、在平面直角坐标系中,把一个图形先绕着原点顺时针旋转的角度为θ,再以原点为位似中心,相似比为k得到一个新的图形,我们把这个过程记为【θ,k】变换.例如,把图中的△ABC先绕着原点O顺时针旋转的角度为90°,再以原点为位似中心,相似比为2得到一个新的图形△A1B1C1,可以把这个过程记为【90°,2】变换.
(1)在图中画出所有符合要求的△A1B1C1
(2)若△OMN的顶点坐标分别为O(0,0)、M(2,4)、N(6,2),把△OMN经过【θ,k】变换后得到△O′M′N′,若点M的对应点M′的坐标为(-1,-2),则θ=
0°(或360°的整数倍)
,k=
2

查看答案和解析>>

同步练习册答案