精英家教网 > 初中数学 > 题目详情

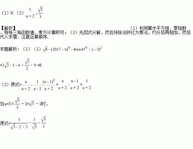
(1)

(2)先化简,再求代数式的值,其中=3tan30°﹣2.

练习册系列答案
相关习题

科目:初中数学 来源:湖南省邵阳市2016~2017学年八年级数学(下)第四次月考试卷 题型:解答题

当k为何值时,函数 y=2-x,y=-+4,y= x-3的图象相交于一点?

查看答案和解析>>

科目:初中数学 来源:江苏省高邮市2016-2017学年八年级下学期第一次课堂效率检测(3月月考)数学试卷 题型:解答题

某学校认真开展学习和实践科学发展观活动,在阶段总结中提出对本单位今后的整改措施,并在征求教职工对整改方案的满意程度时进行民主测评,测评等级为:很满意、较满意、满意、不满意四个等级.

(1)若测评后结果如扇形图(图①),且测试等级为很满意、较满意、满意、不满意的人数之比为3:6:5:1,则图中a= ,β=

(2)若测试后部分统计结果如直方图(图②),请将直方图补画完整,并求出该单位职工总人数为 人.

(3)按上级要求,满意度必须不少于95%方案才能通过,否则,必须对方案进行完善.若要使该方案完善后能获得通过,至少还需增加 人对该方案的测评等级达满意(含满意)以上.

查看答案和解析>>

科目:初中数学 来源:江苏省高邮市2016-2017学年八年级下学期第一次课堂效率检测(3月月考)数学试卷 题型:单选题

下列分式约分正确的是( )

A. B. C. D.

查看答案和解析>>

科目:初中数学 来源:内蒙古毕业第一次模拟考试数学试卷 题型:解答题

如图,AB为⊙O直径,C、D为⊙O上不同于A、B的两点,∠ABD=2∠BAC,连接CD.过点C作CE⊥DB,垂足为E,直线AB与CE相交于F点.

(1)求证:CF为⊙O的切线;

(2)当BF=5,时,求BD的长.

查看答案和解析>>

科目:初中数学 来源:内蒙古毕业第一次模拟考试数学试卷 题型:填空题

不等式组的最小整数解是__________.

查看答案和解析>>

科目:初中数学 来源:内蒙古毕业第一次模拟考试数学试卷 题型:单选题

某班数学兴趣小组10名同学的年龄情况如下表:

年龄(岁)

12

13

14

15

人数

1

4

4

1

则这10名同学年龄的平均数和中位数分别是

A. 13.5,13.5 B. 13.5,13 C. 13,13.5 D. 13,14

查看答案和解析>>

科目:初中数学 来源:江苏省南京市苏科版八年级数学下册:9.3 平行四边形 测试卷 题型:填空题

如图,在□ABCD中, AB=cm,AD=4 cm,AC⊥BC,则△DBC比△ABC的周长长_______________cm.

查看答案和解析>>

科目:初中数学 来源:江苏省连云港市2016-2017学年度第二学期数学中考模拟试卷三 题型:单选题

将如图的Rt△ABC绕直角边AC旋转一周,所得几何体的主视图是( )

A. B. C. D.

查看答案和解析>>

同步练习册答案