精英家教网 > 初中数学 > 题目详情

如图,长方形ABCD中,AB=6,第1次平移将长方形ABCD沿AB的方向向右平移5个单位,得到长方形,第2次平移将长方形沿的方向向右平移5个单位,得到长方形…,第n次平移将长方形沿的方向平移5个单位,得到长方形(n>2),则长为_______________

练习册系列答案
相关习题

科目:初中数学 来源:江苏省泰兴市2017届九年级下学期周周练5数学试卷 题型:填空题

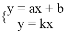
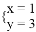
已知方程组的解是,则一次函数y=ax+b与y=kx的交点P的坐标是 __________

查看答案和解析>>

科目:初中数学 来源:江苏省扬州市江都区邵樊片2016-2017学年八年级下学期第一次月考数学试卷 题型:解答题

如图,在边长为1个单位长度的小正方形组成的两格中,点A、B、C都是格点.

(1)将△ABC向左平移6个单位长度得到得到△A1B1C1;

(2)将△ABC绕点O按逆时针方向旋转180°得到△A2B2C2,请画出△A2B2C2;

(3)若点O的坐标为(0,0),点B的坐标为(2,3);写出△A1B1C1与△A2B2C2的对称中心的坐标

查看答案和解析>>

科目:初中数学 来源:江苏省扬州市江都区邵樊片2016-2017学年八年级下学期第一次月考数学试卷 题型:单选题

以下问题,不适合用普查的是(  )

A. 了解全班同学每周体育锻炼的时间 B. 旅客上飞机前的安检

C. 学校招聘教师,对应聘人员面试 D. 了解一批灯泡的使用寿命

查看答案和解析>>

科目:初中数学 来源:江苏省扬州市江都区小纪片2016-2017学年七年级下学期第一次月考数学试卷 题型:解答题

已知,求的值.

查看答案和解析>>

科目:初中数学 来源:江苏省扬州市江都区小纪片2016-2017学年七年级下学期第一次月考数学试卷 题型:填空题

已知a、b、c为△ABC的三边,化简:=______.

查看答案和解析>>

科目:初中数学 来源:江苏省扬州市江都区小纪片2016-2017学年七年级下学期第一次月考数学试卷 题型:单选题

已知三角形三边长为2、a、5,那么a的取值范围是( )

A. 1<a<5 B. 2<a<6 C. 3<a<7 D. 4<a<6

查看答案和解析>>

科目:初中数学 来源:广东省2016-2017学年七年级下学期第二次月考数学(B卷)试卷 题型:填空题

当x_________________时,式子3x5的值大于5x + 3的值

查看答案和解析>>

科目:初中数学 来源:江苏省扬州市2017届九年级4月月考数学试卷 题型:单选题

下列计算正确的是( )

A. B. C. D.

查看答案和解析>>

同步练习册答案