精英家教网 > 初中数学 > 题目详情

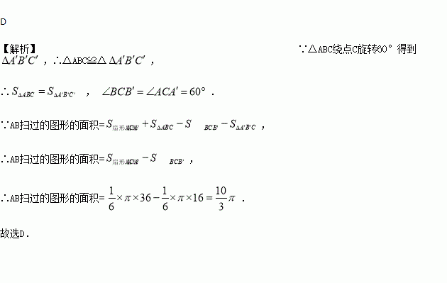
如图,将△ABC绕点C按顺时针旋转60°得到△,已知AC=6,BC=4,则线段AB扫过的图形的面积为 ( )

A. π B. π C. 6π D. π

练习册系列答案
相关习题

科目:初中数学 来源:江苏省江阴市2017届九年级5月模拟数学试卷 题型:单选题

五多边形的内角和为( )

A. 180° B. 360° C. 540° D. 720°

查看答案和解析>>

科目:初中数学 来源:[中学联盟]江苏省盐城市射阳县实验初级中学2016-2017学年八年级下学期第二次月考数学试卷 题型:填空题

如图,A(4,0),B(3,3),以AO,AB为边作平行四边形OABC,则经过C点的反比例函数的表达式为____________.

查看答案和解析>>

科目:初中数学 来源:山东省淄博市张店区2017届中考一模数学试卷 题型:解答题

“低碳环保,你我同行”.近几年,各大城市的公共自行车给市民出行带来了极大的方便.图①是公共自行车的实物图,图②是公共自行车的车架示意图,点A、D、C、E在同一条直线上,CD=30cm,DF=20cm,AF=25cm,FD⊥AE于点D,座杆CE=15cm,且∠EAB=75°.

(1)求AD的长;

(2)求点E到AB的距离.(参考数据:sin75°≈0.97,cos75°≈0.26,tan75°≈3.73)

查看答案和解析>>

科目:初中数学 来源:山东省淄博市张店区2017届中考一模数学试卷 题型:填空题

已知关于x的方程x2+mx-3=0的一个根是1,则它的另一个根是____________.

查看答案和解析>>

科目:初中数学 来源:山东省淄博市张店区2017届中考一模数学试卷 题型:单选题

如图是一几何体的三视图,这个几何体可能是( )

A. 三棱柱 B. 三棱锥 C. 圆柱 D. 圆锥

查看答案和解析>>

科目:初中数学 来源:[首发]江西省抚州市2016-2017学年七年级下学期第二次月考数学试卷 题型:解答题

已知:AB = AE,AC = AD,∠BAC=∠EAD, 求证:EC = BD。

查看答案和解析>>

科目:初中数学 来源:[首发]江西省抚州市2016-2017学年七年级下学期第二次月考数学试卷 题型:单选题

下列各式中,能运用平方差公式进行计算的是(  )

A. (2a+3b)(2b﹣3a) B. (2a2+b2)(2a2+b2)

C. (a+b)(﹣a﹣b) D. (-a+0.5)(-a﹣0.5)

查看答案和解析>>

科目:初中数学 来源:山东省临清、高唐两地2017届中考模拟考试(二)数学试卷 题型:填空题

关于x的方程kx2﹣4x﹣4=0有两个不相等的实数根,则k的最小整数值为______.

查看答案和解析>>

同步练习册答案