精英家教网 > 初中数学 > 题目详情

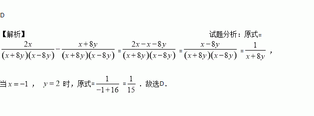
,则的值等于( )

A. B. C. D.

练习册系列答案
相关习题

科目:初中数学 来源:江苏省2017届九年级下学期第一次模拟考试数学试卷 题型:解答题

)如图,在△ABC中,∠C=150°,AC=4,tanB=

(1)求BC的长;

(2)利用此图形求tan15°的值.

查看答案和解析>>

科目:初中数学 来源:内蒙古鄂尔多斯市东胜区2017届九年级下学期第二次模拟考试数学试卷 题型:单选题

如图,把一张矩形纸片ABCD沿EF折叠后,点A落在CD边上的点A′处,点B落在点B′处,若∠2=40°,则图中∠1的度数为( )

A. 115° B. 120° C. 130° D. 140°

查看答案和解析>>

科目:初中数学 来源:苏科版八年级数学下册 第十单元 分式 综合测试卷 题型:填空题

若关于的分式方程有增根,则=_____________.

查看答案和解析>>

科目:初中数学 来源:苏科版八年级数学下册 第十单元 分式 综合测试卷 题型:单选题

下列各式的变形中,不正确的是( )

A. B. C. D.

查看答案和解析>>

科目:初中数学 来源:江苏省兴化市心校2017届九年级上学期期中考试数学试卷 题型:解答题

已知关于x的方程x2-(k+2)x+2k=0.

(1)小明同学说:“无论k取何实数,方程总有实数根。”你认为他说的有道理吗?为什么?

(2)若等腰三角形的一边长a=1,另两边长b、c恰好是这个方程的两个根,求△ABC的周长。

查看答案和解析>>

科目:初中数学 来源:江苏省兴化市心校2017届九年级上学期期中考试数学试卷 题型:解答题

解下列方程:(1) (2x-1)2=2-4x ;(2) 2x2-3=x (用配方法)

查看答案和解析>>

科目:初中数学 来源:江苏省连云港市2017年中考模拟(二)数学试卷 题型:解答题

如图,矩形ABCD中,AB=12,BC=,点O是AB的中点,点P在AB的延长线上,且BP=6.一动点E从O点出发,以每秒1个单位长度的速度沿OA匀速运动,到达A点后,立即以原速度沿AO返回;另一动点F从P点出发,以每秒1个单位长度的速度沿射线PA匀速运动,点E、F同时出发,当两点相遇时停止运动.在点E、F的运动过程中,以EF为边作等边△EFG,使△EFG和矩形ABCD在射线PA的同侧,设运动的时间为t秒().

(1)当t= 时,等边△EFG的边FG恰好经过点C时;

(2)在整个运动过程中,设等边△EFG和矩形ABCD重叠部分的面积为S,请直接写出S与t之间的函数关系式和相应的自变量t的取值范围;

(3)设EG与矩形ABCD的对角线AC的交点为H,是否存在这样的t,使△AOH是等腰三角形?若存在,求出对应的t的值;若不存在,请说明理由.

查看答案和解析>>

科目:初中数学 来源:江苏省镇江市苏科版八年级数学上册:4 实数 单元测试卷 题型:填空题

是二元一次方程组的解,则m+5n的立方根为_______.

查看答案和解析>>

同步练习册答案