精英家教网 > 初中数学 > 题目详情
已知如图,在△ABC中,AB=AC,以AB为直径的⊙O分别交BC、AC于点D、E,连接EB交OD于点F。
(1)求证:OD⊥BE;
(2)若DE=,AB=,求AE的长。
解:(1)证明:连接AD
∵AB是⊙O的直径,
∴∠ADB=∠AEB=90°
∵AB=AC
∴DC=DB
∵OA=OB
∴OD//AC
∴∠OFB=∠AEB=90°
∴OD⊥BE
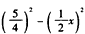
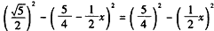
(2)解:设AE=x,由(1)可得∠1=∠2,
∴BD=ED=
∵OD⊥EB
∴OF=AE=x
DF=OD-OF=-x
在Rt△DFB中,BF2=DB2-DF2=
在Rt△OFB中,BF2=OB2-OF2=

解得x=,即AE=
练习册系列答案
相关习题

科目:初中数学 来源: 题型:

18、已知如图:在△ABC中,AB=AC,D在BC上,且DE∥AC交AB于E,点F在AC上,且DF=DC.求证:
(1)△DCF∽△ABC;
(2)BD•DC=BE•CF

查看答案和解析>>

科目:初中数学 来源: 题型:

(2012•通州区一模)已知如图,在△ABC中,AB=AC,∠ABC=α,将△ABC以点B为中心,沿逆时针方向旋转α度(0°<α<90°),得到△BDE,点B、A、E恰好在同一条直线上,连接CE.
(1)则四边形DBCE是
形(填写:平行四边形、矩形、菱形、正方形、梯形)
(2)若AB=AC=1,BC=
3
,请你求出四边形DBCE的面积.

查看答案和解析>>

科目:初中数学 来源: 题型:

已知如图,在△ABC中,∠B=30°,∠C=45°,AB-AC=2-
2
,求BC的长.

查看答案和解析>>

科目:初中数学 来源: 题型:

已知如图,在△ABC中,∠C=60°,AB=2
7
,AC=4,AD是边BC上的高,求BC的长.

查看答案和解析>>

科目:初中数学 来源: 题型:

已知如图,在△ABC中,AD平分∠BAC交BC于D,E为AD延长线上一点且∠ACE=∠B.求证:CD=CE.

查看答案和解析>>

同步练习册答案