精英家教网 > 初中数学 > 题目详情
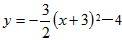
把抛物线y=-x2向左平移3个单位,再向下平移4个单位,所得的函数解析式为(    )。
练习册系列答案
相关习题

科目:初中数学 来源: 题型:

5、把抛物线y=-x2向左平移1个单位,然后向上平移3个单位,则平移后抛物线的解析式为(  )

查看答案和解析>>

科目:初中数学 来源: 题型:

4、把抛物线y=x2向右平移2个单位得到的抛物线是(  )

查看答案和解析>>

科目:初中数学 来源: 题型:

10、在平面直角坐标系中,如果把抛物线y=x2向左平移5个单位,那么所得抛物线的表达式为
y=(x+5)2

查看答案和解析>>

科目:初中数学 来源: 题型:

把抛物线y=-x2向左平移2个单位,然后向上平移5个单位,则平移后抛物线的解析式为
y=-(x+2)2+5
y=-(x+2)2+5

查看答案和解析>>

科目:初中数学 来源: 题型:

把抛物线y=-x2向左平移2个单位,然后向上平移5个单位,则平移后抛物线的解析式为(  )

查看答案和解析>>

同步练习册答案