精英家教网 > 初中数学 > 题目详情

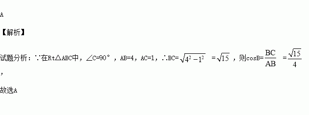
中,,则的值为( )

A. B. C. D.

练习册系列答案
相关习题

科目:初中数学 来源:2017年初中毕业升学考试(黑龙江齐齐哈尔卷)数学(解析版) 题型:解答题

如图,在中,分别是的中点.

(1)求证:

(2)连接,若,求的长.

查看答案和解析>>

科目:初中数学 来源:2017年初中毕业升学考试(黑龙江龙东地区卷)数学(解析版) 题型:填空题

观察下列图形,第一个图形中有一个三角形;第二个图形中有5个三角形;第三个图形中有9个三角形;…….则第2017个图形中有 个三角形.

查看答案和解析>>

科目:初中数学 来源:2017年初中毕业升学考试(黑龙江哈尔滨卷)数学(解析版) 题型:填空题

如图,在矩形中,边上一点,连接,过点,垂足为,若,则的长为 .

查看答案和解析>>

科目:初中数学 来源:2017年初中毕业升学考试(黑龙江哈尔滨卷)数学(解析版) 题型:填空题

把多项式分解因式的结果是

查看答案和解析>>

科目:初中数学 来源:2017年初中毕业升学考试(黑龙江哈尔滨卷)数学(解析版) 题型:选择题

下列图形中,既是轴对称图形又是中心对称图形的是( )

A. B. C. D.

查看答案和解析>>

科目:初中数学 来源:2017年初中毕业升学考试(湖南郴州卷)数学(解析版) 题型:解答题

如图所示,城市在城市正东方向,现计划在两城市间修建一条高速铁路(即线段),经测量,森林保护区的中心在城市的北偏东方向上,在线段上距城市处测得在北偏东方向上,已知森林保护区是以点为圆心,为半径的圆形区域,请问计划修建的这条高速铁路是否穿越保护区,为什么?

(参考数据:

查看答案和解析>>

科目:初中数学 来源:2017年初中毕业升学考试(湖南郴州卷)数学(解析版) 题型:选择题

在创建“全国园林城市”期间,郴州市某中学组织共青团员取植树,其中七位同学植树的棵数分别为:,则这组数据的中位数和众数分别是( )

A. B. C. D.

查看答案和解析>>

科目:初中数学 来源:2017年初中毕业升学考试(湖北孝感卷)数学(解析版) 题型:填空题

如图,四边形 是菱形, 于点 ,则线段的长为

查看答案和解析>>

同步练习册答案