精英家教网 > 初中数学 > 题目详情

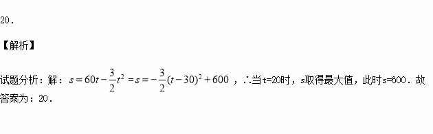
飞机着陆后滑行的距离s(单位:米)关于滑行的时间t(单位:秒)的函数解析式是,则飞机着陆后滑行的最长时间为 秒.

练习册系列答案
相关习题

科目:初中数学 来源:2017年初中毕业升学考试(湖北咸宁卷)数学(解析版) 题型:填空题

的立方根是

查看答案和解析>>

科目:初中数学 来源:2017年初中毕业升学考试(湖北随州卷)数学(解析版) 题型:解答题

计算:.

查看答案和解析>>

科目:初中数学 来源:2017年初中毕业升学考试(湖北四市卷)数学(解析版) 题型:解答题

如图,在平面直角坐标系中,四边形ABCD的边AD在x轴上,点C在y轴的负半轴上,直线BC∥AD,且BC=3,OD=2,将经过A、B两点的直线l:y=﹣2x﹣10向右平移,平移后的直线与x轴交于点E,与直线BC交于点F,设AE的长为t(t≥0).

(1)四边形ABCD的面积为

(2)设四边形ABCD被直线l扫过的面积(阴影部分)为S,请直接写出S关于t的函数解析式;

(3)当t=2时,直线EF上有一动点,作PM⊥直线BC于点M,交x轴于点N,将△PMF沿直线EF折叠得到△PTF,探究:是否存在点P,使点T恰好落在坐标轴上?若存在,请求出点P的坐标;若不存在,请说明理由.

查看答案和解析>>

科目:初中数学 来源:2017年初中毕业升学考试(湖北四市卷)数学(解析版) 题型:解答题

解不等式组,并把它的解集在数轴上表示出来.

查看答案和解析>>

科目:初中数学 来源:2017年初中毕业升学考试(湖北四市卷)数学(解析版) 题型:选择题

若α、β为方程的两个实数根,则的值为的值为( )

A.﹣13 B.12 C.14 D.15

查看答案和解析>>

科目:初中数学 来源:2017年初中毕业升学考试(湖北四市卷)数学(解析版) 题型:选择题

如果向北走6步记作+6,那么向南走8步记作(  )

A. +8步 B. ﹣8步 C. +14步 D. ﹣2步

查看答案和解析>>

科目:初中数学 来源:2017年初中毕业升学考试(湖北荆门卷)数学(解析版) 题型:选择题

计算:的结果是( )

A. B. 0 C. D.-8

查看答案和解析>>

科目:初中数学 来源:2017年初中毕业升学考试(湖南张家界卷)数学(解析版) 题型:填空题

如图,在正方形ABCD中,AD=,把边BC绕点B逆时针旋转30°得到线段BP,连接AP并延长交CD于点E,连接PC,则三角形PCE的面积为

查看答案和解析>>

同步练习册答案