精英家教网 > 初中数学 > 题目详情
如图,已知AB是⊙O的直径,直线CD与⊙O相切于点C,AC平分∠DAB.
(1)求证:AD⊥DC;
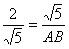
(2)若AD=2,AC=,求AB的长.
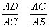
(1)解:连接CO,则CO⊥CD,
    所以
    又因为AC平分
    所以
     再在⊙O中OA=OC ,
    所以
    所以
    则  即AD⊥DC
(2)由(1)得
    所以
    所以
    
练习册系列答案
相关习题

科目:初中数学 来源: 题型:

精英家教网如图,已知AB是⊙O的直径,AC是弦,D为AB延长线上一点,DC=AC,∠ACD=120°,BD=10.
(1)判断DC是否为⊙O的切线,并说明理由;
(2)求扇形BOC的面积.

查看答案和解析>>

科目:初中数学 来源: 题型:

精英家教网如图,已知AB是⊙O的直径,C是⊙O上一点,∠BAC的平分线交⊙O于点D,交⊙O的切线BE于点E,过点D作DF⊥AC,交AC的延长线于点F.
(1)求证:DF是⊙O的切线;
(2)若DF=3,DE=2
①求
BEAD
值;
②求图中阴影部分的面积.

查看答案和解析>>

科目:初中数学 来源: 题型:

(2013•泰安)如图,已知AB是⊙O的直径,AD切⊙O于点A,点C是
EB
的中点,则下列结论不成立的是(  )

查看答案和解析>>

科目:初中数学 来源: 题型:

如图,已知AB是⊙O的直径,P为⊙O外一点,且OP∥BC,∠P=∠BAC.
求证:PA为⊙O的切线.

查看答案和解析>>

科目:初中数学 来源: 题型:

如图,已知AB是圆O的直径,∠DAB的平分线AC交圆O与点C,作CD⊥AD,垂足为点D,直线CD与AB的延长线交于点E.
(1)求证:直线CD为圆O的切线.
(2)当AB=2BE,DE=2
3
时,求AD的长.

查看答案和解析>>

同步练习册答案