精英家教网 > 初中数学 > 题目详情

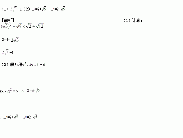
(1)计算:

(2)解方程

练习册系列答案
相关习题

科目:初中数学 来源:山西省大同市矿区2016-2017学年七年级下学期期末考试数学试卷 题型:解答题

解不等式,并把解集在数轴上表示出来.

查看答案和解析>>

科目:初中数学 来源:湖南省张家界市永定区2016-2017学年七年级上学期期末质量检测数学试卷 题型:解答题

如图,直线AB与CD相交于点O,OP是∠BOC的平分线,OE⊥AB,OF⊥CD.

(1)图中除直角和平角外,还有相等的角吗?请写出两对:

  ;②   .

(2)如果∠AOD=40°,求∠COP和∠BOF的度数.

查看答案和解析>>

科目:初中数学 来源:湖南省张家界市永定区2016-2017学年七年级上学期期末质量检测数学试卷 题型:单选题

某篮球队12名队员的年龄如表所示:

年龄(岁)

18

19

20

21

人数

5

4

1

2

则这12名队员年龄的众数和中位数分别是( )

A. 2,19 B. 18,19 C. 2,19.5 D. 18,19.5

查看答案和解析>>

科目:初中数学 来源:浙江省温州市2015-2016学年八年级下学期期中考试数学试卷 题型:解答题

在平面直角坐标系中,A,B 点的坐标分别为(0,4),(-4,0) ,点坐标为,点是射线BO 上的动点,满足BE=1.5OP ,以 为邻边作PEOQ.

(1)当m=2时,求出PE的长度;

(2)当m﹥0时,是否存在m的值,使得PEOQ的面积等于△ABO面积的,若存在求出m的值,若不存在,请说明理由;

(3)当点Q在第四象限时,点Q关于E点的对称点为Q′,点Q ′刚好落在AB上时,求m的值(直接写出答案).

查看答案和解析>>

科目:初中数学 来源:浙江省温州市2015-2016学年八年级下学期期中考试数学试卷 题型:填空题

化简:=________.

查看答案和解析>>

科目:初中数学 来源:浙江省温州市2015-2016学年八年级下学期期中考试数学试卷 题型:单选题

一个多边形的每个内角均为135°,则这个多边形是( )

A. 五边形 B. 六边形 C. 七边形 D. 八边形

查看答案和解析>>

科目:初中数学 来源:内蒙古毕业第一次模拟考试数学试卷 题型:填空题

如图,在△ABC中,CA=CB,∠ACB=90°,AB=,点D为AB的中点,以点D为圆心作圆心角为90°的扇形DEF,点C恰好在弧EF上,则图中阴影部分的面积为________(结果保留π)

查看答案和解析>>

科目:初中数学 来源:重庆市2017届九年级下学期开学考试数学试卷 题型:解答题

如图,斜坡米,坡度,现计划在斜坡中点处挖去部分坡体修建一个平行于水平线的平台和一条新的斜坡

(1)若修建的斜坡的坡角为,求平台的长;(结果保留根号)

(2)斜坡正前方一座建筑物上悬挂了一幅巨型广告,小明在点测得广,告顶部的仰角为,他沿坡面走到坡脚处,然后向大楼方向继行走米来到处,测得广告底部的仰角为,此时小明距大楼底端米.已知在同一平面内,在同一条直线上,求广告的长度.(参考数据:

查看答案和解析>>

同步练习册答案