精英家教网 > 初中数学 > 题目详情

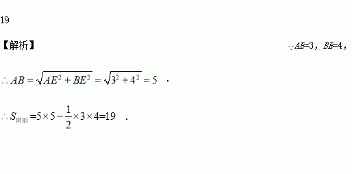
如图,正方形ABCD中,AE⊥BE于E,且AE=3,BE=4,则阴影部分的面积是_______.

练习册系列答案
相关习题

科目:初中数学 来源:江苏省2016-2017学年七年级下学期期末考试数学试卷 题型:单选题

某红外线遥控器发出的红外线波长为0.00000094m,用科学记数法表示这个数是 m.

查看答案和解析>>

科目:初中数学 来源:河南省周口市西华县2016-2017学年七年级下学期期末考试数学试卷 题型:解答题

已知点P(2m+4,m-1),请分别根据下列条件,求出点P的坐标.

(1)点P在x轴上;

(2)点P的纵坐标比横坐标大3;

(3)点P在过点A(2,-4)且与y轴平行的直线上.

查看答案和解析>>

科目:初中数学 来源:河南省周口市西华县2016-2017学年七年级下学期期末考试数学试卷 题型:单选题

下列各组数中互为相反数的一组是( )

A. -2与 B. -2与 C. -2与 D. 与2

查看答案和解析>>

科目:初中数学 来源:河北省唐山市路南区2016-2017学年八年级下学期期末质量检测数学试卷 题型:解答题

计算:(1);(2)

查看答案和解析>>

科目:初中数学 来源:河北省唐山市路南区2016-2017学年八年级下学期期末质量检测数学试卷 题型:选择题

数轴上的点并不都表示有理数,如图中数轴上的点P所表示的数是”,这种说明问题的方式体现的数学思想方法叫做( )

A.代入法 B.换元法 C.数形结合 D.分类讨论

查看答案和解析>>

科目:初中数学 来源:河北省唐山市路南区2016-2017学年八年级下学期期末质量检测数学试卷 题型:单选题

函数中,自变量x的取值范围是( )

A. x>-3 B. x≥-3 C. x≠-3 D. x≤-3

查看答案和解析>>

科目:初中数学 来源:山西农业大学附属中学2017届九年级中考适应性训练数学试卷 题型:选择题

(3分)已知,则函数的图象大致是( )

A. B. C. D.

查看答案和解析>>

科目:初中数学 来源:浙江省温州市2015-2016学年八年级上学期期中考试数学试卷 题型:填空题

如图,已知△ABC,现将边BA延长至点D,使AD=AB,延长AC至点E,使CE=2AC.延长CB至点F,使BF=3BC,分别连结DE,DF,EF,得到△DEF,若△DEF的面积为36,则阴影部分的面积和为_____________

查看答案和解析>>

同步练习册答案