精英家教网 > 初中数学 > 题目详情

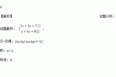
解方程组,①-②得( )

A. 3x=2 B. 3x=-2 C. x=2 D. x=-2

练习册系列答案
相关习题

科目:初中数学 来源:[中学联盟]江苏省丹阳市河阳中学2016-2017学年七年级上学期第一次月考数学试卷 题型:单选题

一个有理数的绝对值等于其本身,这个数是(  )

A. 正数 B. 非负数 C. 零 D. 负数

查看答案和解析>>

科目:初中数学 来源:浙江省永康市毕业生适应性考试数学试卷及答案(word版) 题型:填空题

一个布袋里放有红色、黄色、黑色三种球,它们除颜色外其余都相同.红色、黄色、黑色的个数之比为4:3:2,则从布袋里任意摸出1个球不是红球的概率是___.

查看答案和解析>>

科目:初中数学 来源:[首发]山东省德州市2016-2017学年七年级5月月考数学试卷 题型:解答题

学校每天中午为学生提供两种快餐,第一种一般快餐每盒7元,第二种加量快餐是在第一种快餐基础上加一些食物,因此每盒加收3元,第一学期的一天中午共收到餐费4800元,第二学期一般快餐每盒降价1元,加量快餐每盒涨价1元,因此一天中午共收到餐费4600元,求这个食堂共有多少学生用餐。

查看答案和解析>>

科目:初中数学 来源:[首发]山东省德州市2016-2017学年七年级5月月考数学试卷 题型:填空题

分解因式:49a2-42ab+9b2=___________.

查看答案和解析>>

科目:初中数学 来源:[首发]山东省德州市2016-2017学年七年级5月月考数学试卷 题型:单选题

下列运算正确的是( )

A. (-2a2)3=-8a6 B. (a+b)2=a2+b2 C. a6÷a3=a2 D. a3·a3=2a3

查看答案和解析>>

科目:初中数学 来源:湖南省永州市祁阳县2017届九年级第五次模拟考试数学试卷 题型:解答题

某汽车专卖店销售A,B两种型号的新能源汽车.上周售出1辆A型车和3辆B型车,销售额为96万元;本周已售出2辆A型车和1辆B型车,销售额为 62万元.

(1)求每辆A型车和B型车的售价各为多少元.

(2)甲公司拟向该店购买A,B两种型号的新能源汽车共6辆,购车费不少于130万元,且不超过140万元.则有哪几种购车方案?

查看答案和解析>>

科目:初中数学 来源:湖南省永州市祁阳县2017届九年级第五次模拟考试数学试卷 题型:单选题

实数a,b在数轴上的对应点的位置如图所示,则正确的结论是( )

A. a>﹣2 B. a<﹣3 C. a>﹣b D. a<﹣b

查看答案和解析>>

科目:初中数学 来源:山东省淄博市博山区2017届中考一模数学试卷 题型:填空题

如图是由两个长方形组成的工件平面图(单位:mm),直线l是它的对称轴,能完全覆盖这个平面图形的圆面的最小半径是_______mm.

查看答案和解析>>

同步练习册答案