精英家教网 > 初中数学 > 题目详情

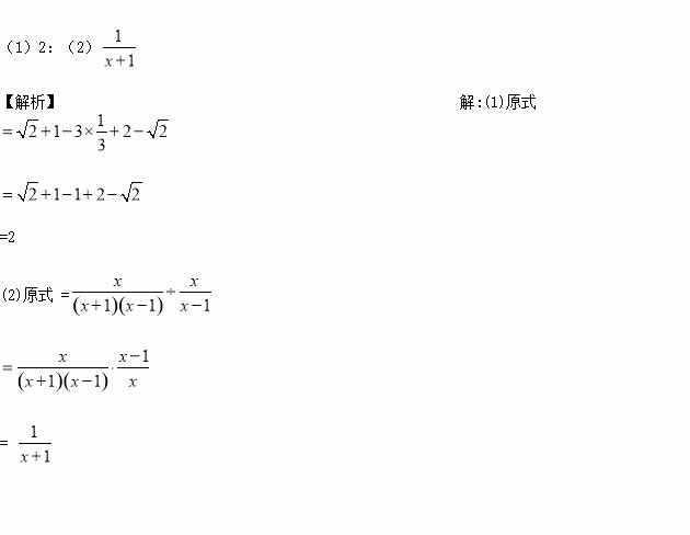
(1)计算:

(2)化简:

练习册系列答案
相关习题

科目:初中数学 来源:[中学联盟]新疆乌鲁木齐市第九十八中学2016-2017学年八年级下学期第二次月考数学试卷 题型:单选题

如图菱形ABCD的对角线AC=6,BD=8,点E为AB边的中点,点F、P为BC、AC边上的动点,则PE+PF的最小值为( ).

A. 5 B. 4.8 C. 4.5 D. 4

查看答案和解析>>

科目:初中数学 来源:[首发]江苏省盐城市2016-2017学年八年级下学期第二次学情考试数学试卷(A版) 题型:解答题

先化简,再求值: ,请你从﹣1≤x<3的范围内选取一个适当的整数作为x的值.

查看答案和解析>>

科目:初中数学 来源:[首发]江苏省盐城市2016-2017学年八年级下学期第二次学情考试数学试卷(A版) 题型:单选题

如图,反比例函数y=的图像可能是( )

A. B. C. D.

查看答案和解析>>

科目:初中数学 来源:江苏省镇江市润州区2017届九年级中考二模数学试卷 题型:解答题

如图,已知的三个顶点的坐标分别为,P(a,b)是△ABC的边AC上一点:

(1)将绕原点逆时针旋转90°得到,请在网格中画出,旋转过程中点A所走的路径长为 .

(2)将△ABC沿一定的方向平移后,点P的对应点为P2(a+6,b+2),请在网格画出上述平移后的△A2B2C2,并写出点A2、的坐标:A2( ).

(3)若以点O为位似中心,作△A3B3C3与△ABC成2:1的位似,则与点P对应的点P3位似坐标为 直接写出结果).

查看答案和解析>>

科目:初中数学 来源:江苏省镇江市润州区2017届九年级中考二模数学试卷 题型:单选题

下图是一些完全相同的小正方体搭成的几何体的三视图 ,这个几何体只能是( )

A. B. C. D.

查看答案和解析>>

科目:初中数学 来源:江苏省镇江市润州区2017届九年级中考二模数学试卷 题型:填空题

关于的方程有两个实数根,则的取值范围是_____________.

查看答案和解析>>

科目:初中数学 来源:【全国百强校首发】江西省新余市2016-2017学年七年级下学期第二次段考数学试卷 题型:填空题

如图是某公园里一处矩形风景欣赏区ABCD,长AB=50米,宽BC=25米,为方便游人观赏,公园特意修建了如图所示的小路(图中非阴影部分),小路的宽均为1米,那么小明沿着小路的中间出口A到出口B所走的路线(图中虚线)长为 ______ 米.

查看答案和解析>>

科目:初中数学 来源:[首发]江西省抚州市2016-2017学年七年级下学期第二次月考数学试卷 题型:解答题

如图,已知:∠1=∠2∠A=∠D, ,求证:ΔABC≌ΔDEF。

查看答案和解析>>

同步练习册答案