精英家教网 > 初中数学 > 题目详情

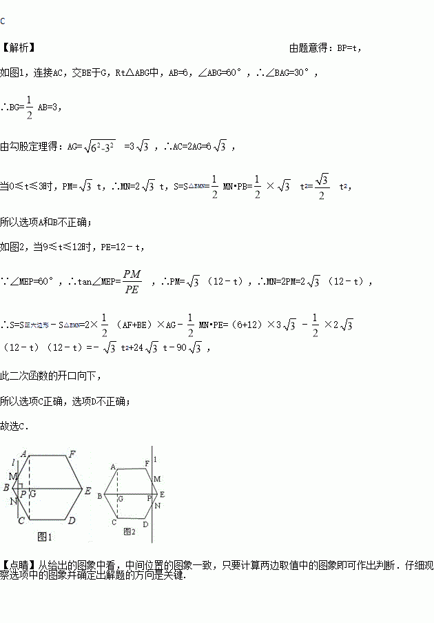
如图,正六边形ABCDEF的边长为6cm,P是对角线BE上一动点,过点P作直线l与BE垂直,动点P从B点出发且以1cm/s的速度匀速平移至E点.设直线l扫过正六边形ABCDEF区域的面积为S(cm2),点P的运动时间为t(s),下列能反映S与t之间函数关系的大致图象是(  )

A. B. C. D.

练习册系列答案
相关习题

科目:初中数学 来源:黑龙江省2016-2017学年八年级(下)期末数学试卷(五四学制) 题型:解答题

八年级一班开展了“读一本好书”的活动,班委会对学生阅读书籍的情况进行了问卷调查,问卷设置了“小说”“戏剧”“散文”“其他”四个类型,每位同学仅选一项,根据调查结果绘制了不完整的频数分布表和扇形统计图.

类别

频数(人数)

频率

小说

0.5

戏剧

4

散文

10

0.25

其他

6

合计

1

根据图表提供的信息,解答下列问题:

(1)八年级一班有多少名学生?

(2)请补全频数分布表,并求出扇形统计图中“其他”类所占的百分比;

(3)在调查问卷中,甲、乙、丙、丁四位同学选择了“戏剧”类,现从以上四位同学中任意选出2名同学参加学校的戏剧兴趣小组,请用画树状图或列表法的方法,求选取的2人恰好是乙和丙的概率.

查看答案和解析>>

科目:初中数学 来源:江苏省扬州市邵樊片2017届九年级上学期第一次月数学试卷 题型:填空题

方程的解是____.

查看答案和解析>>

科目:初中数学 来源:2017年江苏省南京市玄武区中考数学二模试卷 题型:解答题

先化简代数式1﹣ ,并从﹣1,0,1,3中选取一个合适的数代入求值.

查看答案和解析>>

科目:初中数学 来源:2017年江苏省南京市玄武区中考数学二模试卷 题型:填空题

某班的中考英语口语考试成绩如表:

考试成绩/分

30

29

28

27

26

学生数/人

3

15

13

6

3

则该班中考英语口语考试成绩的众数比中位数多___分.

查看答案和解析>>

科目:初中数学 来源:2017年江苏省南京市玄武区中考数学二模试卷 题型:单选题

2的相反数是(  )

A. 2 B. C. ﹣2 D. ﹣

查看答案和解析>>

科目:初中数学 来源:陕西省西安市2016-2017学年七年级上学期第二次月考数学试卷 题型:解答题

合并同类项:

(1)3(4x2-3x+2)-2(1-4x2+x);

(2)15x2-(3y2+7xy)+3(2y2-5x2).

查看答案和解析>>

科目:初中数学 来源:上海市闵行区2016-2017学年八年级(下)期末数学试卷 题型:解答题

如图所示,在正方形中,的中点,上一点,且.求证:.

查看答案和解析>>

科目:初中数学 来源:吉林省长春市等五校2016-2017学年八年级上学期第一次素质教育交流研讨考试数学试卷 题型:单选题

可以写成的是( )

A . B. C. D.

查看答案和解析>>

同步练习册答案