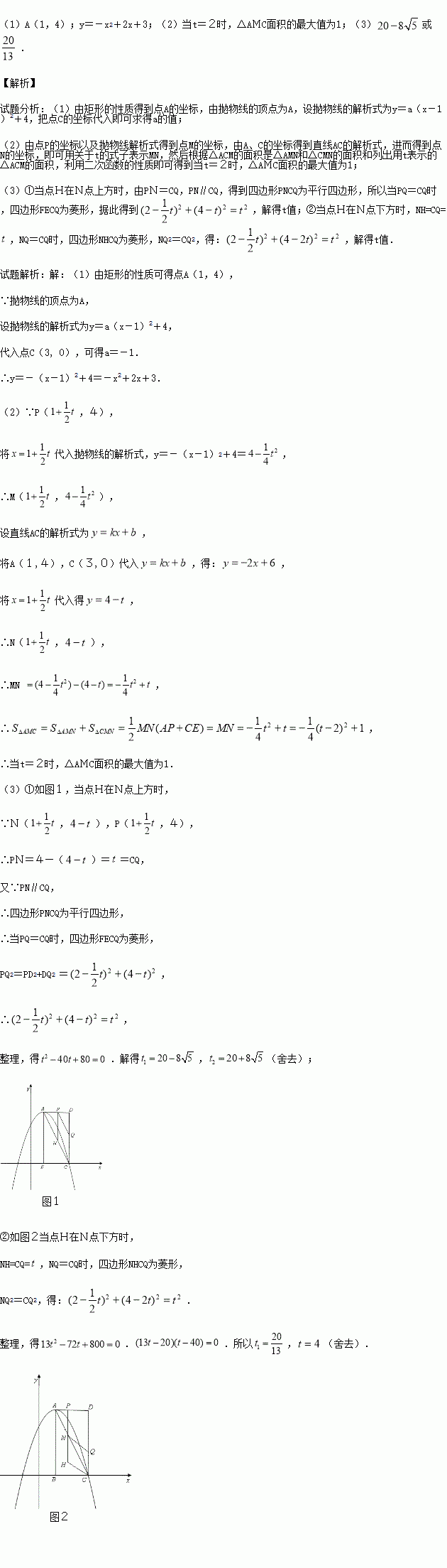
(本小题满分9分)如图,在平面直角坐标系中,已知矩形ABCD的三个顶点B(1, 0)、C(3, 0)、D(3, 4).以A为顶点的抛物线y=ax2+bx+c过点C.动点P从点A出发,以每秒
个单位的速度沿线段AD向点D运动,运动时间为t秒.过点P作PE⊥x轴交抛物线于点M,交AC于点N.
![]()
(1)直接写出点A的坐标,并求出抛物线的解析式;
(2)当t为何值时,△ACM的面积最大?最大值为多少?
(3)点Q从点C出发,以每秒1个单位的速度沿线段CD向点D运动,当t为何值时,在线段PE上存在点H,使以C、Q、N、H为顶点的四边形为菱形?
科目:初中数学 来源:2#241266#3#7#17#2017#辽宁省大石桥市2017届九年级中考模拟数学试卷#17#1 题型:解答题
如图,AB是⊙O的直径,OD垂直于弦AC于点E,且交⊙O于点D,F是BA延长线上一点,若∠CDB=∠BFD.
(1)求证:FD是⊙O的一条切线;
(2)若AB=10,AC=8,求DF的长.
![]()
查看答案和解析>>
科目:初中数学 来源:2#241251#3#7#17#2017#辽宁省营口市2017届九年级下学期第二次模拟数学试卷#17#1 题型:单选题
如图,P为平行四边形ABCD边AD上一点,E、F分别是PB、PC(靠近点P)的三等分点,△PEF、△PDC、△PAB的面积分别为S1、S2、S3,若AD=2,AB=2
,∠A=60°,则S1+S2+S3的值为( )
A.
B.
C.
D. 4![]()
查看答案和解析>>
科目:初中数学 来源:2#241248#3#3#9#2017#湖北省鄂州市梁子湖区2017届九年级下学期第三次月考数学试卷#9#1 题型:填空题
如图,⊙O的半径为2,点A、C在⊙O上,线段BD经过圆心O,∠ABD=∠CDB=90°,AB=1,CD=
,则图中阴影部分的面积为______.
![]()
查看答案和解析>>
科目:初中数学 来源:2#241248#3#3#9#2017#湖北省鄂州市梁子湖区2017届九年级下学期第三次月考数学试卷#9#1 题型:单选题
对于一组数据﹣1,﹣1,4,2,下列结论不正确的是( )
A. 平均数是1 B. 众数是﹣1 C. 中位数是0.5 D. 方差是3.5
查看答案和解析>>
科目:初中数学 来源:2#241220#3#7#17#2017#辽宁省大石桥市2017届九年级中考模拟数学试卷#17#1 题型:解答题
张家界市为了治理城市污水,需要铺设一段全长为300米的污水排放管道,铺设120米后,为了尽可能减少施工对城市交通所造成的影响,后来每天的工作量比原计划增加20%,结果共用了27天完成了这一任务,求原计划每天铺设管道多少米?
查看答案和解析>>
科目:初中数学 来源:2#241220#3#7#17#2017#辽宁省大石桥市2017届九年级中考模拟数学试卷#17#1 题型:填空题
在△ABC中,AB=AC=10,cosB=
,如果圆O的半径为2
,且经过点B、C,那么线段AO的长等于__.
查看答案和解析>>
科目:初中数学 来源:2#241203#3#7#3#2017#天津市河东区2017年九年级数学中考预测题(含答案)#3#3 题型:解答题
某型号飞机的机翼形状如图所示,AB∥CD,∠DAE=37º,∠CBE=45º,CD=1.4m,AB、CD之间的距离为5.1m.求AD、AB的长.(参考数据:
,
,
)
![]()
查看答案和解析>>
科目:初中数学 来源:2#241365#2#7#8#2017#山东省青州市2016-2017学年八年级(下)期末模拟数学试卷(含答案)#8#1 题型:单选题
如图,在△ABC中,已知点D、E、F分别是边BC、AD、CE上的中点,且S△ABC=4cm2,则S△BEF的值为( )
![]()
A. 2 cm2 B. 1 cm2 C.
cm2 D.
cm2
查看答案和解析>>
湖北省互联网违法和不良信息举报平台 | 网上有害信息举报专区 | 电信诈骗举报专区 | 涉历史虚无主义有害信息举报专区 | 涉企侵权举报专区
违法和不良信息举报电话:027-86699610 举报邮箱:58377363@163.com