精英家教网 > 初中数学 > 题目详情

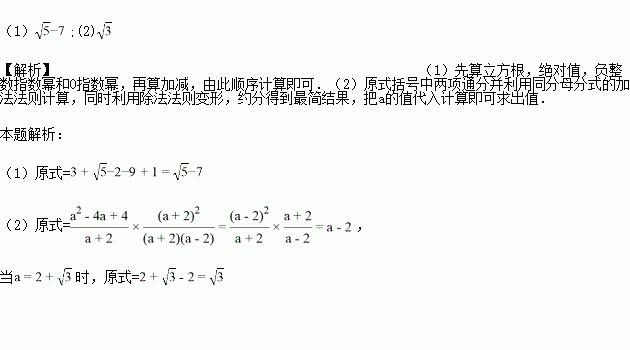
(1)计算:

(2)先化简再求值:,其中

练习册系列答案
相关习题

科目:初中数学 来源:广东省东莞市2016-2017学年七年级下学期期末考试数学试卷(WORD版) 题型:填空题

在平面直角坐标系中,已知点A(-2,4)、B(3,m),若直线AB∥x轴,则m的值为__________.

查看答案和解析>>

科目:初中数学 来源:河北省唐山市路南区2016-2017学年八年级下学期期末质量检测数学试卷 题型:解答题

如图,直线l: 与x轴、y轴分别交于点A、B,点P1(2,1)在直线l上,将点P1先向右平移1个单位,再向上平移2个单位得到像点P2.

(1)判断点P2是否在直线l上;并说明理由.

(2)若直线l上的点在x轴上方,直接写出x的取值范围.

(3)若点P为过原点O与直线l平行的直线上任意一点,直接写出S△PAB的值.

查看答案和解析>>

科目:初中数学 来源:河北省唐山市路南区2016-2017学年八年级下学期期末质量检测数学试卷 题型:单选题

学校准备设计一款女生校服,对全校女生喜欢的颜色进行了问卷调查,统计如下表所示:

学校决定采用红色,可用来解释这一现象的统计知识是( )

A. 平均数 B. 中位数 C. 众数 D. 方差

查看答案和解析>>

科目:初中数学 来源:山西农业大学附属中学2017届九年级中考适应性训练数学试卷 题型:解答题

某小区为了绿化环境,计划分两次购进A、B两种花草,第一次分别购进A、B两种花草30棵和15棵,共花费675元;第二次分别购进A、B两种花草12棵和5棵.两次共花费940元(两次购进的A、B两种花草价格均分别相同).

(1)A、B两种花草每棵的价格分别是多少元?

(2)若购买A、B两种花草共31棵,且B种花草的数量少于A种花草的数量的2倍,请你给出一种费用最省的方案,并求出该方案所需费用.

查看答案和解析>>

科目:初中数学 来源:山西农业大学附属中学2017届九年级中考适应性训练数学试卷 题型:填空题

分解因式:xy2﹣4x=______________。

查看答案和解析>>

科目:初中数学 来源:山西农业大学附属中学2017届九年级中考适应性训练数学试卷 题型:单选题

某射击小组有20人,教练根据他们某次射击的数据绘制成如图所示的统计图,则这组数据的众数和中位数分别是

A. 7,7 B. 8,7.5 C. 7,7.5 D. 8,6

查看答案和解析>>

科目:初中数学 来源:河北省秦皇岛市抚宁县台营学区2016-2017学年七年级下学期期末考试数学试卷 题型:单选题

如图,长方形ABCD中,AB=6,第一次平移长方形ABCD沿AB的方向向右平移5个单位,得到长方形A1B1C1D1,第2次平移将长方形A1B1C1D1沿A1B1的方向向右平移5个单位,得到长方形A2B2C2D2…,第n次平移将长方形An﹣1Bn﹣1Cn﹣1Dn﹣1沿An﹣1Bn﹣1的方向向右平移5个单位,得到长方形AnBnCnDn(n>2),若ABn的长度为2016,则n的值为(   )

A. 400 B. 401 C. 402 D. 403

查看答案和解析>>

科目:初中数学 来源:内蒙古2017届九年级下学期期中考试数学试卷 题型:解答题

如图,将矩形纸片ABCD沿对角线BD折叠,使点A落在平面上的F点处,DF交BC于点E.

(1)求证:△DCE≌△BFE;

(2)若CD=2,∠ADB=30°,求BE的长.

查看答案和解析>>

同步练习册答案