精英家教网 > 初中数学 > 题目详情
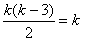
过m 边形的一个顶点有7 条对角线,n 边形没有对角线,k 边形共有k 条对角线,求(m-k )n的值是多少?
解:由m-3=7 ,得m=10, n=3
,得k=5
(m-k)n = (10-5)3 =125。
练习册系列答案
相关习题

科目:初中数学 来源: 题型:

过m边形的一个顶点有4条对角线,n边形没有对角线,p边形有p条对角线,则(m-p)n=
 

查看答案和解析>>

科目:初中数学 来源: 题型:

16、若过m边形的一个顶点有7条对角线,n边形没有对角线,k边形有k条对角线,正h边形的内角和与外角和相等,则代数式h•(m-k)n=
60

查看答案和解析>>

科目:初中数学 来源: 题型:

15、我们知道过n边形的一个顶点可以做(n-3)条对角线,这(n-3)条对角线把三角形分割成(n-2)个三角形,想一想这是为什么?如图1.
如图2,在n边形的边上任意取一点,连接这点与各顶点的线段可以把n边形分成几个三角形?
想一想,利用这两个图形,怎样证明多边形的内角和定理.

查看答案和解析>>

科目:初中数学 来源: 题型:

若过m边形的一个顶点有7条对角线,n边形没有对角线,k边形有k条对角线,正h边形的内角和与外角和相等.求代数式h•(m-k)n的值.

查看答案和解析>>

科目:初中数学 来源: 题型:

过m边形的一个顶点有7条对角线,n边形没有对角线,k边形共有k条对角线,求(m-k)n的值是多少?

查看答案和解析>>

同步练习册答案