精英家教网 > 初中数学 > 题目详情

如图,在正方形 中, 分别为 的中点,连接 交于点 ,将 沿 对折,得到 ,延长 延长线于点 ,下列结论正确的个数是

;② ;③ ;④

A. B. C. D.

练习册系列答案
相关习题

科目:初中数学 来源:广东省东莞市堂星晨学校2017届考模拟数学试卷 题型:单选题

如图,Rt△ABC中,∠ACB=90°,∠A=55°,将其折叠,使点A落在边CB上A′处,折痕为CD,则∠A′DB=(  )

A. 40° B. 30° C. 20° D. 10°

查看答案和解析>>

科目:初中数学 来源:江苏省2017届九年级中考最后一模数学试卷 题型:解答题

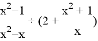
先化简,再求值:,再从-1,0,1,2中选择一个合适的值代入求值.

查看答案和解析>>

科目:初中数学 来源:江苏省2017届九年级中考最后一模数学试卷 题型:单选题

下列实数中,最大的是(  )

A. -2 B. 2 C. D.

查看答案和解析>>

科目:初中数学 来源:深圳锦华实验学校2017届九年级数学中考模拟试卷 题型:解答题

计算:

查看答案和解析>>

科目:初中数学 来源:深圳锦华实验学校2017届九年级数学中考模拟试卷 题型:单选题

不等式组 的解集在数轴上表示正确的是

A. B. C. D.

查看答案和解析>>

科目:初中数学 来源:江苏省2016-2017学年八年级上学期第二次教学质量检测数学试卷 题型:解答题

在△ABC中,AB=AC,D是BC的中点,以AC为腰向外作等腰直角△ACE,∠EAC=90°,连接BE,交AD于点F,交AC于点G.

(1)若∠BAC=40°,求∠AEB的度数;

(2)求证:∠AEB=∠ACF;

(3)求证:EF2+BF2=2AC2.

查看答案和解析>>

科目:初中数学 来源:江苏省2016-2017学年八年级上学期第二次教学质量检测数学试卷 题型:填空题

在平面直角坐标系中,点P(﹣4,3)关于y轴的对称点坐标为__________.

查看答案和解析>>

科目:初中数学 来源:云南省曲靖市2016-2017学年七年级下学期期末考试数学试卷 题型:填空题

在方程4x-2y=7中,如果用含x的式子表示y,则y=___________________.

查看答案和解析>>

同步练习册答案