精英家教网 > 初中数学 > 题目详情

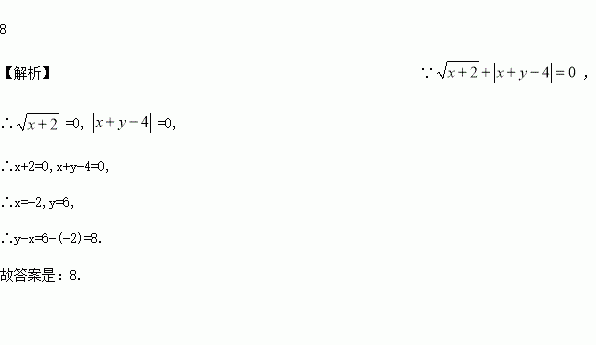
,则y-x=_________

练习册系列答案
相关习题

科目:初中数学 来源:湖南省邵阳市邵东县2017届中考数学三模试卷 题型:选择题

下列命题中,不正确的是( )

A.一组邻边相等的矩形是正方形

B.等腰梯形的对角线相等

C.直角三角形斜边上的高等于斜边的一半

D.圆既是轴对称图形,又是中心对称图形

查看答案和解析>>

科目:初中数学 来源:山东省东营市四校连赛(五四制)2016-2017学年七年级下学期期末考试数学试卷 题型:填空题

分解因式:a2b-b3=

查看答案和解析>>

科目:初中数学 来源:山东省东营市四校连赛(五四制)2016-2017学年八年级下学期期末考试数学试卷 题型:单选题

(2015秋•常州期末)若一个三角形的三边长分别为6、8、10,则这个三角形最长边上的中线长为( )

A.3.6 B.4 C.4.8 D.5

查看答案和解析>>

科目:初中数学 来源:黑龙江省大庆市2016-2017学年八年级下学期期末考试数学试卷 题型:解答题

(8分)“海之南”水果种植场今年收获的“妃子笑”和“无核Ⅰ号”两种荔枝共3200千克,全部售出后收入30400元.已知“妃子笑”荔枝每千克售价8元,“无核Ⅰ号”荔枝每千克售价12元,问该种植场今年这两种荔枝各收获多少千克?

查看答案和解析>>

科目:初中数学 来源:黑龙江省大庆市2016-2017学年八年级下学期期末考试数学试卷 题型:填空题

随着海拔高度的升高,大气压强下降,空气中的含氧量也随之下降,即含氧量y(g/m3)与大气压强x(kPa)成正比例函数关系.当x=36(kPa)时,y=108(g/m3),请写出y与x的函数关系式

查看答案和解析>>

科目:初中数学 来源:黑龙江省大庆市2016-2017学年八年级下学期期末考试数学试卷 题型:单选题

在一组数据3、4、4、6、8中,下列说法正确的是( )

A. 平均数小于中位数 B. 平均数等于中位数

C. 平均数大于中位数 D. 平均数等于众数

查看答案和解析>>

科目:初中数学 来源:黑龙江省大庆市(五四制)2017届九年级4月周考(五)数学试卷 题型:填空题

某一型号飞机着陆后滑行的距离y(单位:m)与滑行时间x(单位:s)之间的函数关系式为,该型号飞机着陆后滑行______m才能停下来.

查看答案和解析>>

科目:初中数学 来源:北京市昌平区2016-2017学年七年级下学期期末考试数学试卷 题型:单选题

下列计算正确的是( )

A. B. C. D.

查看答案和解析>>

同步练习册答案