精英家教网 > 初中数学 > 题目详情

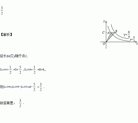
如图,点A在双曲线y=上,点B在双曲线y=上,且AB∥x轴,则△OAB的面积等于______.

练习册系列答案
相关习题

科目:初中数学 来源:江苏省连云港市2016-2017学年度第二学期数学中考模拟试卷三 题型:单选题

若a<2<b,其中a、b为两个连续的整数,则ab的值为 ( )

A. 2 B. 5 C. 6 D. 12

查看答案和解析>>

科目:初中数学 来源:江苏省2015-2016学年七年级下学期期末考试数学试卷 题型:填空题

直接写出因式分解的结果: ______; ____________.

查看答案和解析>>

科目:初中数学 来源:苏科版八年级下册数学第十一章 反比例函数 单元测评卷 题型:单选题

若某反比例函数的图象经过点(-1,6),则下列各点中,此函数图象也经过的点是( )

A. (-3,2) B. (3,2) C. (2,3) D. (6,1)

查看答案和解析>>

科目:初中数学 来源:江苏省泰州市2016-2017学年第二学期八年级数学期末模拟试卷(含答案) 题型:解答题

先化简,再求值:(,其中a2+a-2=0.

查看答案和解析>>

科目:初中数学 来源:江苏省泰州市2016-2017学年第二学期八年级数学期末模拟试卷(含答案) 题型:单选题

如图,在矩形ABCD中,点E在AD上,且EC平分∠BED,AB=2,∠ABE=45°,则DE的长为(  )

A. 2-2 B. -1 C. -1 D. 2-

查看答案和解析>>

科目:初中数学 来源:江苏省泰州市2016-2017学年第二学期八年级数学期末模拟试卷(含答案) 题型:单选题

下列电视台的台标,是中心对称图形的是( )

A. B. C. D.

查看答案和解析>>

科目:初中数学 来源:江苏省2016-2017学年七年级上学期期末考试数学试卷 题型:解答题

数轴上有三点,分别表示有理数,动点出发,以每秒个单位的速度向右移动,当点运动到点时运动停止,设点移动时间为秒.

(1)用含的代数式表示点对应的数:_________;

(2)当点运动到点时,点点出发,以每秒个单位的速度向点运动, 点到达点后,再立即以同样的速度返回点.

①用含的代数式表示点在由过程中对应的数:_________;

②当______时,动点到达同一位置(即相遇);

③当时,求的值.

查看答案和解析>>

科目:初中数学 来源:江苏省江阴市2016-2017学年七年级下学期期中考试数学试卷 题型:填空题

已知:_____,_____.

查看答案和解析>>

同步练习册答案